viimane versioon :
17/12/2025
antibiootikum   Amoxicillin sodium / clavulanic acid  
Süsteravim
suukaudne lahus
Stabiilsus lahustes Stabiilsust mõjutavad tegurid stabiilsust mõjutavad faktorid Sobimatus Manustamis viis Viited pdf
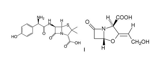
   keemiline struktuur  

Kaubanduslikud nimed erinevates maades   Kaubanduslikud nimed erinevates maades     

Preparaatide nimed on näitlikud ja abianete sisaldus võib erineda sõltuvalt riigist ja laborist

Aktil Ungari
Amoclan Saudi Araabia
Amoklavin Türgi
Amoksiklav Poola
Amoxclav Saudi Araabia
Amplamox Brasiilia
Augmentin Araabia Ühendemiraadid, Austria, Belgia, Ecuador, Hispaania, Holland, Itaalia, Kreeka, Poola, Prantsusmaa, Saudi Araabia, Suurbritannia, Sveits, Tšiili, Türgi
Betamox Portugal
Clavamox Austria
Clavicin Malaisia, Venetsueela
Clavulin Brasiilia
Co-amoxi Sveits
Co-Amoxicillin Sveits
Curam Saudi Araabia, uus-Meremaa
Darzitil Argentiina
Dibional Argentiina
Julmentin Araabia Ühendemiraadid
Novamox Brasiilia
Sulbamox Tšiili
Tarometin Poola
Trifamox Argentiina, Ecuador, Kolumbia, Mehhiko
Viited   Süsteravim   Viited : Amoxicillin sodium / clavulanic acid  
tüüp avaldamine
186 ajaleht Swart EL, Mooren RAG, Van Loenen AC.
Compatibility of midazolam hydrochloride and lorazepam with selected drugs during simulated Y-site administration.
Am J Health-Syst Pharm 1995 ; 52: 2020-2022.
889 ajaleht Janknegt R, Stratermans T, Cilissen J, Lohman JJHM, Hooymans PM.
Ofloxacin intravenous. Compatibility with other antibacterial agents.
Pharm Weekbl [Sci] 1991 ; 13: 207-209.
1318 ajaleht Ashwin J, Lynn B, Taskis CB.
Stability and administration of intravenous Augmentin.
Pharm J 1987 ; 238: 116-118.
1357 ajaleht Janknegt R, Schrouff GGM, Hooymans PM, Hermens WJHH, Lohman JJHM.
Quinolones and penicillins incompatibility.
Ann Pharmacotherapy 1989 ; 23: 91-92.
1746 ajaleht Kambia N, Merite N, Dine T, Dupin-Spriet T, Gressier B, Luyckx M, Watinne C, Brunet C.
Stability studies of amoxicillin/clavulanic acid combinaison in polyolefin infusion bags.
EJHP 2010 ; 16, 30-37.
2139 ajaleht Serrurier C, Chenot ED, Vigneron J, May I, Demor? B.
Assessment of injectable drug’s administration in two intensive care units and determination of potential physico-chemical incompatibilities.
EJHP Science 2006 ; 12,5: 96-99.
2231 ajaleht de Jongh R, Hens R, Basma V, mouton JW, Tulkens PM, Carryn S.
Continuous versus intermittent infusion of temocillin, a directed spectrum penicillin for intensive care patients with nosocomial pneumonia: stability, compatibility, population pharmacokinetic studies and breakpoint selection.
J Antimicrob Chemother 2008 ; 61, 2: 382-388.
3520 Labor Cidomycin - Summary of product Chracteristics.
Sanofi 2011
3529 Labor Ciprofloxacin – Summary of Product Characteristics
Hospira 2013
3545 Labor Amoxicilline / acide clavulanique - Résumé des caractéristiques du produit
Mylan SAS 2009
3549 Labor Amikacine B Braun - Résumé des caractéristiques du produit.
B Braun 2012
3643 Labor Gentamicin sulphate (Cidomycin®) - Summary of Product Characteristics
Sanofi 2015
3674 Labor Erythromycin lactobionate - Summary of Product Characteristics
PanPharma 2016
3791 plakat Sadou Yaye H, Burtet E, Hamel C, Aljhni R, Gard C, Tilleul P.
Étude de la compatibilité physico-chimique du phloroglucinol injectable durant les mélanges au sein des tubulures en Y.
Apifh Congress, Paris November 2014 2014
3824 ajaleht Boudi S, Roy H, Forest JM, Leclair G.
Compatibilité physique de l'association amoxicilline-acide clavulanique en injection avec plusieurs autres médicaments lors d'une administration en Y.
Pharmactuel 2023 2023;56,3:91-98
3948 ajaleht Bouchoud L, Fonzo-Christe C, Klingm?ller M, Bonnabry P .
Compatibility of Intravenous Medications With Parenteral Nutrition - In Vitro Evaluation.
JPEN 2012 ;30. 416?424.
4470 ajaleht Claeysoone K, Basma V, Hens R, Van Bambeke F, de Jongh R, Tulkens P.
Continuous versus intermittent infusion of temocillin in intensive care unit patient.
Critical care 2005 ; 9(Suppl 1) P37
4524 plakat Stucki C, Sautter A-M, Bonnabry P.
Physical compatibility of the propofol emulsion with 33 drugs used in anaesthesiology.
ESCP Symposium, Geneva, Switzerland 2009
4654 plakat Sicard G, Donnette M, Martin N, Gensollen S, Pourroy B, Fanciullino R.
Compatibilité visuelle du Vyxeos® lors d'administration en Y avec une sélection de médicaments injectables.
Communication personnelle 2021
4922 ajaleht Wanandy T, Handley SA, Le TTA, Lau WY, Turner ME, Wiese MD.
Stability of Antibiotics for Use in the Testing of Immediate Drug Allergy Reactions.
J Allergy Clin Immunol Pract 2024 13, 2: 343-352.

  Mentions Légales