Последнее обновление :
27/11/2025
Антибиотик   Penicillin G sodium  
Инъекция
Стабильность растворов Стабильность смесей Факторы, которые влияют на стабильность Совместимость Способы введения Библиография pdf
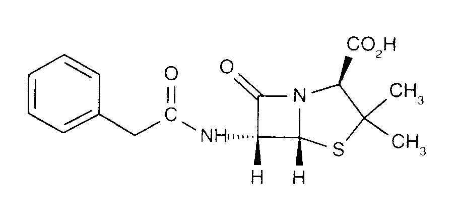
   Химическая структура  

Товарное название   Товарное название     

Trade names are indicative and excipients composition can be different depending on the country and manufacturers

Benapen Бразилия
Bencilpenicilina Перу, чили, Эквадор
Benpen Австралия, новая Зеландия
Bensylpenicillin Швеция
Benzapen Иран
Benzatec Южно-Африканская Республика
Benzatron Бразилия
Benzylpenicillin Дания, Египет, Норвегия, Финляндия, Швеция
Benzylpenicilline Тунис
Biconcillina Эквадор
Crystapen Великобритания, Ирландия, Канада
Declin Мексика
Fortepen Саудовская Аравия
Geepenil Финляндия
Natrium penicillin G Голландия
Novopen Южно-Африканская Республика
Pebencil Венесуэла
Penbendox Мексика
Penibiot Испания
Penicillin Норвегия
Penicillina G sodica Аргентина, Колумбия, Португалия, чили, Эквадор
Penilevel Испания
Sodiopen Испания
Unicillina Испания
Библиография   Инъекция   Библиография : Penicillin G sodium  
тип публикация
13 Журнал Stiles ML, Allen LV.
Stability of nafcillin sodium, oxacillin sodium, penicillin G potassium, penicillin G sodium and tobramycin sulfate in polyvinyl chloride drug reservoirs.
Am J Health-Syst Pharm 1997 ; 54: 1068-1070.
440 Журнал Stiles ML, Tu YH, Allen LV.
Stability of cefazolin sodium, cefoxitin sodium, ceftazidime, and penicillin G sodium in portable pump reservoirs.
Am J Hosp Pharm 1989 ; 46: 1408-1412.
1057 Журнал Cutie MR.
Compatibility of verapamil hydrochloride injection with commonly used additives.
Am J Hosp Pharm 1983 ; 40: 1205-1207.
1072 Журнал Saltsmann CL, Tom CM, Mitchell A, Fan JH, Gailey RA.
Compatibility of levofloxacin with 34 medications during simulated Y-site administration.
Am J Health-Syst Pharm 1999 ; 56: 1458-1459.
1241 Журнал Rayani S, Jamali F.
The stability of penicillin G sodium in 5% dextrose in water minibags after freezing.
Can J Hosp Pharm 1985 ; 38: 162-163.
1263 Журнал Allwood MC, Brown PW.
The effect of buffering on the stability of reconstituted benzylpenicillin injection.
Int J Pharm Pract 1992 ; 1: 242-244.
1725 Журнал Oliver C, Law S.
Compatibility of oxytocin, zidovudine, and penicillin G.
Can J Hosp Pharm 2001 ; 54: 112-113.
2056 Журнал Vella-Brincat JWA, Begg EJ, Gallagher K, kirkpatrick CMJ, Zhang M, Frampton C, Chambers ST.
Stability of benzylpenicillin during continuous home intravenous therapy.
J Antimicrob Chemother 2004 ; 53: 675-677.
2087 Журнал Ferreira E, Forest JM, Hildgen P.
Compatibility of dimenhydrinate injectable by Y administration.
Pharmactuel 2004 ; 37: 17-20.
2090 Журнал Pere H, Chasse V, Forest JM, Hildgen P.
Compatibility of injectable pantoprazole in Y-site administration.
Pharmactuel 2004 ; 37: 193-196.
3012 Журнал Sullivan T, Forrest J.M, Leclair G.
Compatibility of Cloxacillin Sodium with Selected Intravenous Drugs During Simulated Y-Site Administration
Hosp Pharm 2015 ; 50, 3: 214-220.
3227 Журнал Simon B, Hancu G, Gy?resi A.
Application of capillary electrophoresis to the simultaneous determination and stability study of four extensively used penicillin derivatives
Braz J Pharm Sci 2014 ; 50, 3 : 521-527.
3520 Лаборатория Cidomycin - Summary of product Chracteristics.
Sanofi 2011
3529 Лаборатория Ciprofloxacin – Summary of Product Characteristics
Hospira 2013
3540 Лаборатория Heparin sodium - Summary of Product Characteristics.
Wockhardt 2010
3549 Лаборатория Amikacine B Braun - Résumé des caractéristiques du produit.
B Braun 2012
3580 Лаборатория Cytarabine Accord - Résumé des caractéristiques du produit
Accord Healthcare France 2016
3585 Лаборатория Benzylpenicillin sodium - Summary of Product Characteristics
Genus Pharmaceuticals 2008
3643 Лаборатория Gentamicin sulphate (Cidomycin®) - Summary of Product Characteristics
Sanofi 2015
3648 Журнал Hossain M.A, Friciu M, Aubin S, Leclair G.
Stability of penicillin G sodium diluted with 0.9% sodium chloride injection or 5% dextrose injection and stored in polyvinyl chloride bag containers and elastomeric pump containers.
Am J Health-Syst Pharm 2014 ; 71:669-673.
3674 Лаборатория Erythromycin lactobionate - Summary of Product Characteristics
PanPharma 2016
3702 Журнал McDougall D.A.J, McWhinney.
Stability of buffered benzylpenicillin solutions for outpatient parenteral antimicrobial therapy.
J Pharm Pract and Res 2014 ; 44, 1: 26-28.
3931 Лаборатория Trimébutine (Débridat®) - Résumé des caractéristiques du produit
Pfizer Laboratoire 2016
3964 Журнал Audet M.A, Forest E, Friciu M, Forest J.M, Leclair G.
Compatibilité du citrate de caféine injectable avec plusieurs autres médicaments.
Pharmactuel 2017 ; 50,1 : 27-33.
4154 Лаборатория Bleomycin sulfate- Summary of Product Characteristics
Accord Health Care 2018
4319 Журнал Lessard J-J, Caron E, Schérer H, Forest J-M, Leclair G.
Compatibility of Y-site Injection of Meropenem Trihydrate With 101 Other Injectable Drugs.
Hosp Pharm 2020 ; 55, 5: 332-337.
4389 Журнал Côté K, Correal F, Metras M.E, Friciu M, Forest J.M, Leclair G.
Compatibilité physique des médicaments administrés en Y aux soins intensifs, en particulier la dexmédétomidine, le lévosimendan et la kétamine.
Pharmactuel 2019 ;52,4:206-213
4590 Журнал Smith E.K, McWhinney MPhil B.C.
Stability of buffered benzylpenicillin and flucloxacillin for a paediatric outpatient parenteral antibiotic therapy service.
J Pediatr Pharmacol Ther 2021 ; 51: 231-237.
4603 Журнал Vallée M, Barthélémy I, Friciu M, Pelletier E, Forest J.M, Benoit F, Leclair G.
Compatibility of Lactated Ringer’s Injection With 94 Selected Intravenous Drugs During Simulated Y-site Administration.
Hosp Pharm 2021 ; 56, 4: 228-234.
4831 Журнал Nezvalova-Henriksen K, Huseby Holm T, Nilsson N, Kjønniksen I, Tho I.
Frequently acquired drugs in neonatal intensive care and their physical compatibility.
Acta Paediatr 2022 ;111:2307–2314. 
4837 Журнал De Silva, D.T.N Petrovski M, Strunk T, Mukadam N, Page‑Sharp N, Moore B.R, Batty K.T.
Physicochemical compatibility of caffeine citrate and caffeine base injections with parenteral medications used in neonatal intensive care settings.
Eur J Clin Pharmacol 2024 ; 80:1079–1087.
4845 Журнал De Silva D.T.N, Strunk T, Petrovski M, Page-Sharp M, Moore B.R, Batty K.T.
The Physicochemical Compatibility of Sildenafil Injection with Parenteral Medications Used in Neonatal Intensive Care Settings.
Pharmaceutics 2024 ;1 6, 419.
4874 Журнал Rentsch K.M, Khanna N, Halbeisen D, Osthoff M.
Enhancing Stability and Investigating Target Attainment of Benzylpenicillin in Outpatient Parenteral Antimicrobial Therapy: Insights from In Vitro and In Vivo Evaluations.
Antibiotics 2024 ; 13, 970.
4922 Журнал Wanandy T, Handley SA, Le TTA, Lau WY, Turner ME, Wiese MD.
Stability of Antibiotics for Use in the Testing of Immediate Drug Allergy Reactions.
J Allergy Clin Immunol Pract 2024 13, 2: 343-352.
5046 Лаборатория Metaraminol 10 mg/ml Solution for Injection or Infusion - Package leaflet: Information for the user.
Global Harvest Pharmaceuticals 2020

  Mentions Légales