Ultimo aggiornamento :
27/04/2026
Antibiotico   Penicillin G sodium  
Iniezione
Stabilità in soluzione Stabilità in miscela Fattori che influenzano la stabilità Compatibilità metodo di iniezione Bibliografia pdf
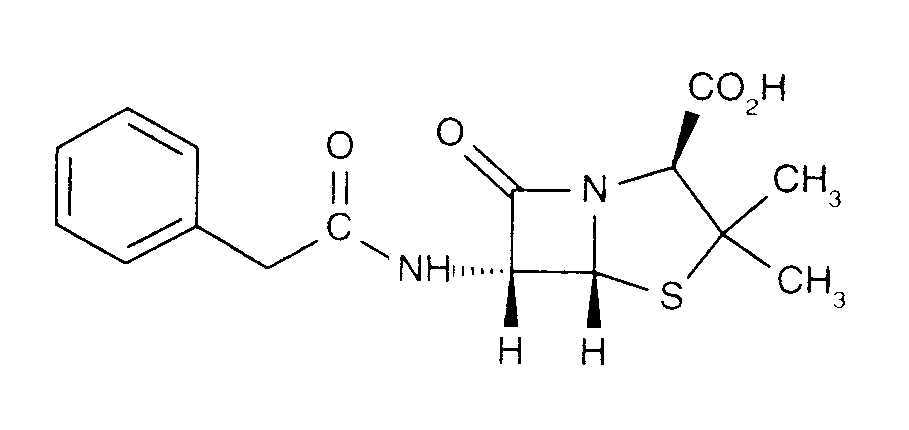
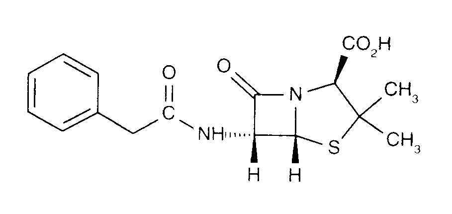
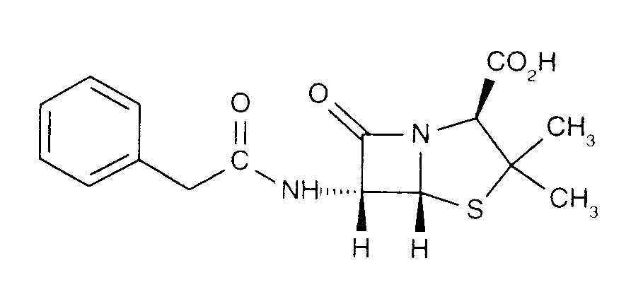
   Struttura chimica  

Nome commerciale   Nome commerciale     

Trade names are indicative and excipients composition can be different depending on the country and manufacturers

Benapen Brasile
Bencilpenicilina Chile, Ecuador, Perù
Benpen Australia, nuova Zelanda
Bensylpenicillin Svezia
Benzapen Iran
Benzatec Africa del Sud
Benzatron Brasile
Benzylpenicillin Danimarca, Egitto, Finlandia, Norvegia, Svezia
Benzylpenicilline Tunisia
Biconcillina Ecuador
Crystapen Canada, Gran Bretagna, Irlanda
Declin Messico
Fortepen Arabia Saudita
Geepenil Finlandia
Natrium penicillin G Paesi Bassi
Novopen Africa del Sud
Pebencil Venezuela
Penbendox Messico
Penibiot Spagna
Penicillin Norvegia
Penicillina G sodica Argentina, Chile, Colombia, Ecuador, Portogallo
Penilevel Spagna
Sodiopen Spagna
Unicillina Spagna
Bibliografia   Iniezione   Bibliografia : Penicillin G sodium  
tipo pubblicazione
13 Rivista Stiles ML, Allen LV.
Stability of nafcillin sodium, oxacillin sodium, penicillin G potassium, penicillin G sodium and tobramycin sulfate in polyvinyl chloride drug reservoirs.
Am J Health-Syst Pharm 1997 ; 54: 1068-1070.
440 Rivista Stiles ML, Tu YH, Allen LV.
Stability of cefazolin sodium, cefoxitin sodium, ceftazidime, and penicillin G sodium in portable pump reservoirs.
Am J Hosp Pharm 1989 ; 46: 1408-1412.
1057 Rivista Cutie MR.
Compatibility of verapamil hydrochloride injection with commonly used additives.
Am J Hosp Pharm 1983 ; 40: 1205-1207.
1072 Rivista Saltsmann CL, Tom CM, Mitchell A, Fan JH, Gailey RA.
Compatibility of levofloxacin with 34 medications during simulated Y-site administration.
Am J Health-Syst Pharm 1999 ; 56: 1458-1459.
1241 Rivista Rayani S, Jamali F.
The stability of penicillin G sodium in 5% dextrose in water minibags after freezing.
Can J Hosp Pharm 1985 ; 38: 162-163.
1263 Rivista Allwood MC, Brown PW.
The effect of buffering on the stability of reconstituted benzylpenicillin injection.
Int J Pharm Pract 1992 ; 1: 242-244.
1725 Rivista Oliver C, Law S.
Compatibility of oxytocin, zidovudine, and penicillin G.
Can J Hosp Pharm 2001 ; 54: 112-113.
2056 Rivista Vella-Brincat JWA, Begg EJ, Gallagher K, kirkpatrick CMJ, Zhang M, Frampton C, Chambers ST.
Stability of benzylpenicillin during continuous home intravenous therapy.
J Antimicrob Chemother 2004 ; 53: 675-677.
2087 Rivista Ferreira E, Forest JM, Hildgen P.
Compatibility of dimenhydrinate injectable by Y administration.
Pharmactuel 2004 ; 37: 17-20.
2090 Rivista Pere H, Chasse V, Forest JM, Hildgen P.
Compatibility of injectable pantoprazole in Y-site administration.
Pharmactuel 2004 ; 37: 193-196.
3012 Rivista Sullivan T, Forrest J.M, Leclair G.
Compatibility of Cloxacillin Sodium with Selected Intravenous Drugs During Simulated Y-Site Administration
Hosp Pharm 2015 ; 50, 3: 214-220.
3227 Rivista Simon B, Hancu G, Gy?resi A.
Application of capillary electrophoresis to the simultaneous determination and stability study of four extensively used penicillin derivatives
Braz J Pharm Sci 2014 ; 50, 3 : 521-527.
3520 Laboratorio Cidomycin - Summary of product Chracteristics.
Sanofi 2011
3529 Laboratorio Ciprofloxacin – Summary of Product Characteristics
Hospira 2013
3540 Laboratorio Heparin sodium - Summary of Product Characteristics.
Wockhardt 2010
3549 Laboratorio Amikacine B Braun - Résumé des caractéristiques du produit.
B Braun 2012
3580 Laboratorio Cytarabine Accord - Résumé des caractéristiques du produit
Accord Healthcare France 2016
3585 Laboratorio Benzylpenicillin sodium - Summary of Product Characteristics
Genus Pharmaceuticals 2008
3643 Laboratorio Gentamicin sulphate (Cidomycin®) - Summary of Product Characteristics
Sanofi 2015
3648 Rivista Hossain M.A, Friciu M, Aubin S, Leclair G.
Stability of penicillin G sodium diluted with 0.9% sodium chloride injection or 5% dextrose injection and stored in polyvinyl chloride bag containers and elastomeric pump containers.
Am J Health-Syst Pharm 2014 ; 71:669-673.
3674 Laboratorio Erythromycin lactobionate - Summary of Product Characteristics
PanPharma 2016
3702 Rivista McDougall D.A.J, McWhinney.
Stability of buffered benzylpenicillin solutions for outpatient parenteral antimicrobial therapy.
J Pharm Pract and Res 2014 ; 44, 1: 26-28.
3931 Laboratorio Trimébutine (Débridat®) - Résumé des caractéristiques du produit
Pfizer Laboratoire 2016
3964 Rivista Audet M.A, Forest E, Friciu M, Forest J.M, Leclair G.
Compatibilité du citrate de caféine injectable avec plusieurs autres médicaments.
Pharmactuel 2017 ; 50,1 : 27-33.
4154 Laboratorio Bleomycin sulfate- Summary of Product Characteristics
Accord Health Care 2018
4319 Rivista Lessard J-J, Caron E, Schérer H, Forest J-M, Leclair G.
Compatibility of Y-site Injection of Meropenem Trihydrate With 101 Other Injectable Drugs.
Hosp Pharm 2020 ; 55, 5: 332-337.
4389 Rivista Côté K, Correal F, Metras M.E, Friciu M, Forest J.M, Leclair G.
Compatibilité physique des médicaments administrés en Y aux soins intensifs, en particulier la dexmédétomidine, le lévosimendan et la kétamine.
Pharmactuel 2019 ;52,4:206-213
4590 Rivista Smith E.K, McWhinney MPhil B.C.
Stability of buffered benzylpenicillin and flucloxacillin for a paediatric outpatient parenteral antibiotic therapy service.
J Pediatr Pharmacol Ther 2021 ; 51: 231-237.
4603 Rivista Vallée M, Barthélémy I, Friciu M, Pelletier E, Forest J.M, Benoit F, Leclair G.
Compatibility of Lactated Ringer’s Injection With 94 Selected Intravenous Drugs During Simulated Y-site Administration.
Hosp Pharm 2021 ; 56, 4: 228-234.
4831 Rivista Nezvalova-Henriksen K, Huseby Holm T, Nilsson N, Kjønniksen I, Tho I.
Frequently acquired drugs in neonatal intensive care and their physical compatibility.
Acta Paediatr 2022 ;111:2307–2314. 
4837 Rivista De Silva, D.T.N Petrovski M, Strunk T, Mukadam N, Page‑Sharp N, Moore B.R, Batty K.T.
Physicochemical compatibility of caffeine citrate and caffeine base injections with parenteral medications used in neonatal intensive care settings.
Eur J Clin Pharmacol 2024 ; 80:1079–1087.
4845 Rivista De Silva D.T.N, Strunk T, Petrovski M, Page-Sharp M, Moore B.R, Batty K.T.
The Physicochemical Compatibility of Sildenafil Injection with Parenteral Medications Used in Neonatal Intensive Care Settings.
Pharmaceutics 2024 ;1 6, 419.
4874 Rivista Rentsch K.M, Khanna N, Halbeisen D, Osthoff M.
Enhancing Stability and Investigating Target Attainment of Benzylpenicillin in Outpatient Parenteral Antimicrobial Therapy: Insights from In Vitro and In Vivo Evaluations.
Antibiotics 2024 ; 13, 970.
4922 Rivista Wanandy T, Handley SA, Le TTA, Lau WY, Turner ME, Wiese MD.
Stability of Antibiotics for Use in the Testing of Immediate Drug Allergy Reactions.
J Allergy Clin Immunol Pract 2024 13, 2: 343-352.
5046 Laboratorio Metaraminol 10 mg/ml Solution for Injection or Infusion - Package leaflet: Information for the user.
Global Harvest Pharmaceuticals 2020

  Mentions Légales