Siste oppdatering :
27/04/2026
Antibiotika   Penicillin G sodium  
Injeksjon
Oppløsningsstabilitet Stabilitet i blandinger Faktorer som påvirker stabiliteten Kompatibilitet Administrasjonsmåte Referanser pdf
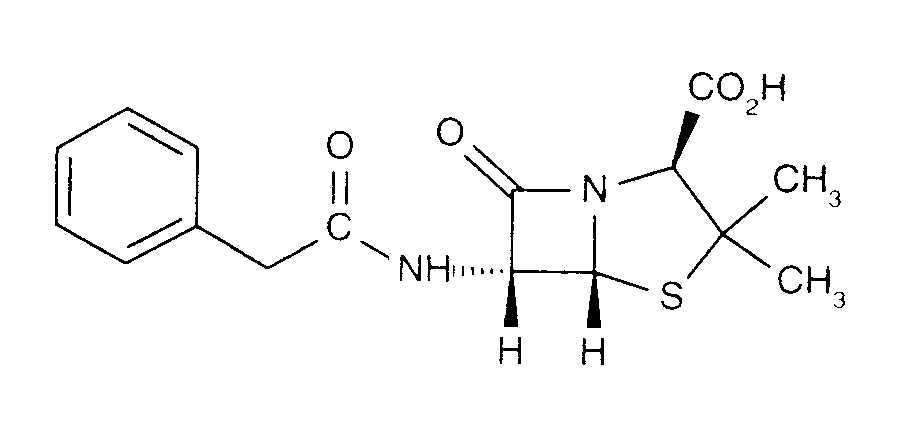
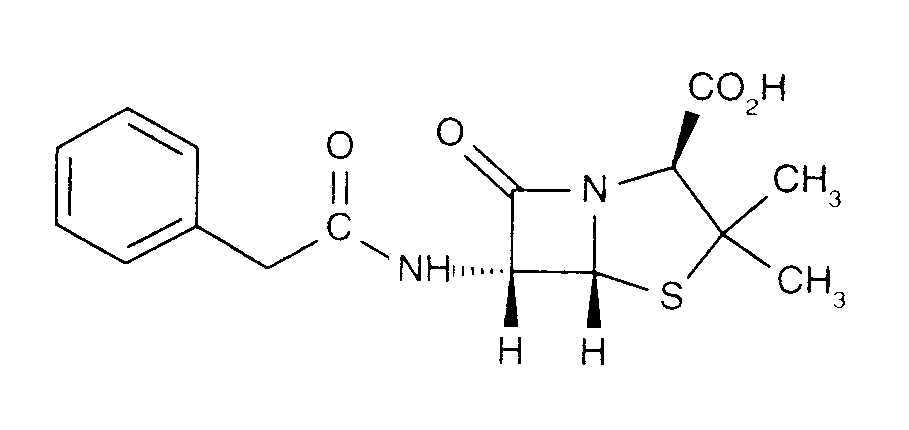
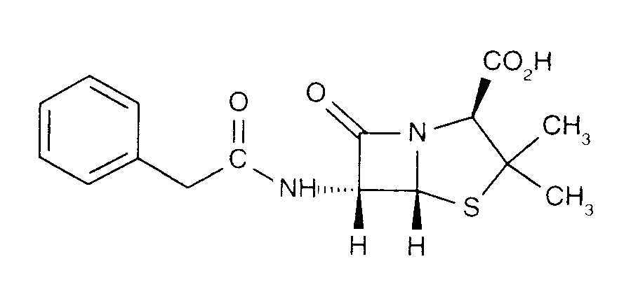
   Kjemisk struktur  

Handelsnavn   Handelsnavn     

Handelsnavn er veiledende og sammensetning av hjelpestoffer kan være forskjellig avhengig av land og produsent

Benapen Brasil
Bencilpenicilina Chile, Ecuador, Peru
Benpen Australia, New Zealand
Bensylpenicillin Sverige
Benzapen Iran
Benzatec Sør-Afrika
Benzatron Brasil
Benzylpenicillin Danmark, Egypt, Finland, Norge, Sverige
Benzylpenicilline Tunisia
Biconcillina Ecuador
Crystapen Canada, Irland, Storbritannia
Declin Mexico
Fortepen Saudi-Arabia
Geepenil Finland
Natrium penicillin G Nederland
Novopen Sør-Afrika
Pebencil Venezuela
Penbendox Mexico
Penibiot Spania
Penicillin Norge
Penicillina G sodica Argentina, Chile, Colombia, Ecuador, Portugal
Penilevel Spania
Sodiopen Spania
Unicillina Spania
Referanser   Injeksjon   Referanser : Penicillin G sodium  
Type publikasjon
13 Journal Stiles ML, Allen LV.
Stability of nafcillin sodium, oxacillin sodium, penicillin G potassium, penicillin G sodium and tobramycin sulfate in polyvinyl chloride drug reservoirs.
Am J Health-Syst Pharm 1997 ; 54: 1068-1070.
440 Journal Stiles ML, Tu YH, Allen LV.
Stability of cefazolin sodium, cefoxitin sodium, ceftazidime, and penicillin G sodium in portable pump reservoirs.
Am J Hosp Pharm 1989 ; 46: 1408-1412.
1057 Journal Cutie MR.
Compatibility of verapamil hydrochloride injection with commonly used additives.
Am J Hosp Pharm 1983 ; 40: 1205-1207.
1072 Journal Saltsmann CL, Tom CM, Mitchell A, Fan JH, Gailey RA.
Compatibility of levofloxacin with 34 medications during simulated Y-site administration.
Am J Health-Syst Pharm 1999 ; 56: 1458-1459.
1241 Journal Rayani S, Jamali F.
The stability of penicillin G sodium in 5% dextrose in water minibags after freezing.
Can J Hosp Pharm 1985 ; 38: 162-163.
1263 Journal Allwood MC, Brown PW.
The effect of buffering on the stability of reconstituted benzylpenicillin injection.
Int J Pharm Pract 1992 ; 1: 242-244.
1725 Journal Oliver C, Law S.
Compatibility of oxytocin, zidovudine, and penicillin G.
Can J Hosp Pharm 2001 ; 54: 112-113.
2056 Journal Vella-Brincat JWA, Begg EJ, Gallagher K, kirkpatrick CMJ, Zhang M, Frampton C, Chambers ST.
Stability of benzylpenicillin during continuous home intravenous therapy.
J Antimicrob Chemother 2004 ; 53: 675-677.
2087 Journal Ferreira E, Forest JM, Hildgen P.
Compatibility of dimenhydrinate injectable by Y administration.
Pharmactuel 2004 ; 37: 17-20.
2090 Journal Pere H, Chasse V, Forest JM, Hildgen P.
Compatibility of injectable pantoprazole in Y-site administration.
Pharmactuel 2004 ; 37: 193-196.
3012 Journal Sullivan T, Forrest J.M, Leclair G.
Compatibility of Cloxacillin Sodium with Selected Intravenous Drugs During Simulated Y-Site Administration
Hosp Pharm 2015 ; 50, 3: 214-220.
3227 Journal Simon B, Hancu G, Gy?resi A.
Application of capillary electrophoresis to the simultaneous determination and stability study of four extensively used penicillin derivatives
Braz J Pharm Sci 2014 ; 50, 3 : 521-527.
3520 Labratorium Cidomycin - Summary of product Chracteristics.
Sanofi 2011
3529 Labratorium Ciprofloxacin – Summary of Product Characteristics
Hospira 2013
3540 Labratorium Heparin sodium - Summary of Product Characteristics.
Wockhardt 2010
3549 Labratorium Amikacine B Braun - Résumé des caractéristiques du produit.
B Braun 2012
3580 Labratorium Cytarabine Accord - Résumé des caractéristiques du produit
Accord Healthcare France 2016
3585 Labratorium Benzylpenicillin sodium - Summary of Product Characteristics
Genus Pharmaceuticals 2008
3643 Labratorium Gentamicin sulphate (Cidomycin®) - Summary of Product Characteristics
Sanofi 2015
3648 Journal Hossain M.A, Friciu M, Aubin S, Leclair G.
Stability of penicillin G sodium diluted with 0.9% sodium chloride injection or 5% dextrose injection and stored in polyvinyl chloride bag containers and elastomeric pump containers.
Am J Health-Syst Pharm 2014 ; 71:669-673.
3674 Labratorium Erythromycin lactobionate - Summary of Product Characteristics
PanPharma 2016
3702 Journal McDougall D.A.J, McWhinney.
Stability of buffered benzylpenicillin solutions for outpatient parenteral antimicrobial therapy.
J Pharm Pract and Res 2014 ; 44, 1: 26-28.
3931 Labratorium Trimébutine (Débridat®) - Résumé des caractéristiques du produit
Pfizer Laboratoire 2016
3964 Journal Audet M.A, Forest E, Friciu M, Forest J.M, Leclair G.
Compatibilité du citrate de caféine injectable avec plusieurs autres médicaments.
Pharmactuel 2017 ; 50,1 : 27-33.
4154 Labratorium Bleomycin sulfate- Summary of Product Characteristics
Accord Health Care 2018
4319 Journal Lessard J-J, Caron E, Schérer H, Forest J-M, Leclair G.
Compatibility of Y-site Injection of Meropenem Trihydrate With 101 Other Injectable Drugs.
Hosp Pharm 2020 ; 55, 5: 332-337.
4389 Journal Côté K, Correal F, Metras M.E, Friciu M, Forest J.M, Leclair G.
Compatibilité physique des médicaments administrés en Y aux soins intensifs, en particulier la dexmédétomidine, le lévosimendan et la kétamine.
Pharmactuel 2019 ;52,4:206-213
4590 Journal Smith E.K, McWhinney MPhil B.C.
Stability of buffered benzylpenicillin and flucloxacillin for a paediatric outpatient parenteral antibiotic therapy service.
J Pediatr Pharmacol Ther 2021 ; 51: 231-237.
4603 Journal Vallée M, Barthélémy I, Friciu M, Pelletier E, Forest J.M, Benoit F, Leclair G.
Compatibility of Lactated Ringer’s Injection With 94 Selected Intravenous Drugs During Simulated Y-site Administration.
Hosp Pharm 2021 ; 56, 4: 228-234.
4831 Journal Nezvalova-Henriksen K, Huseby Holm T, Nilsson N, Kjønniksen I, Tho I.
Frequently acquired drugs in neonatal intensive care and their physical compatibility.
Acta Paediatr 2022 ;111:2307–2314. 
4837 Journal De Silva, D.T.N Petrovski M, Strunk T, Mukadam N, Page‑Sharp N, Moore B.R, Batty K.T.
Physicochemical compatibility of caffeine citrate and caffeine base injections with parenteral medications used in neonatal intensive care settings.
Eur J Clin Pharmacol 2024 ; 80:1079–1087.
4845 Journal De Silva D.T.N, Strunk T, Petrovski M, Page-Sharp M, Moore B.R, Batty K.T.
The Physicochemical Compatibility of Sildenafil Injection with Parenteral Medications Used in Neonatal Intensive Care Settings.
Pharmaceutics 2024 ;1 6, 419.
4874 Journal Rentsch K.M, Khanna N, Halbeisen D, Osthoff M.
Enhancing Stability and Investigating Target Attainment of Benzylpenicillin in Outpatient Parenteral Antimicrobial Therapy: Insights from In Vitro and In Vivo Evaluations.
Antibiotics 2024 ; 13, 970.
4922 Journal Wanandy T, Handley SA, Le TTA, Lau WY, Turner ME, Wiese MD.
Stability of Antibiotics for Use in the Testing of Immediate Drug Allergy Reactions.
J Allergy Clin Immunol Pract 2024 13, 2: 343-352.
5046 Labratorium Metaraminol 10 mg/ml Solution for Injection or Infusion - Package leaflet: Information for the user.
Global Harvest Pharmaceuticals 2020

  Mentions Légales