Последно актуализиране :
05/12/2025
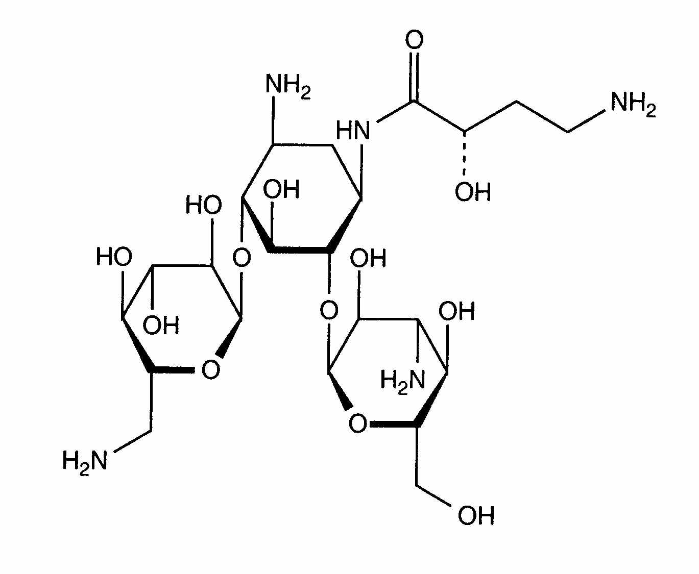
Антибиотик   Amikacin sulfate  
Инжекция/Инжекционен
Стабилност на разтвори Стабилност на смеси Фактори, повлияващи стабилността Съвместимост Път на въвеждане Библиография Pdf
   Химична структура  

Търговско наименование   Търговско наименование     

Търговските имена са примерни и съставът на помощните вещества може да бъде различен в зависимост от държавата и лабораториите

Adnet Индия
Agnicin Мексико
Akamin Еквадор
Akim Еквадор
Amicacil Бразилия
Amicilon Бразилия
Amicin Малайзия
Amicip Венецуела
Amijeksin Турция
Amikabiot Еквадор, Перу
Amikacin Великобритания, Германия, Египет, Иран, Канада, Малайзия, нова Зеландия, Саудитска Арабия, Съединени Американски щати / САЩ
Amikacina Аржентина, Венецуела, Еквадор, Испания, Италия, Колумбия, Мексико, Перу, Чили
Amikacine Белгия, Мароко, Франция, Холандия
Amikafur Мексико
Amikagram Перу
Amikalem Мексико
Amikamed Перу
Amikamek Перу
Amikan Италия
Amikavax Венецуела
Amikaver Турция
Amikayect Мексико
Amikem Перу
Amiketem Турция
Amikin Австралия, Бразилия, Великобритания, Египет, Еквадор, Ирландия, Колумбия, Мексико, Перу, Полша, Саудитска Арабия, Съединени Американски щати / САЩ, Тунис, Унгария, Швейцария
Amiklin Турция, Франция
Amikosit Румъния, Тунис, Турция
Amikram Перу
Amukin Белгия, Люксенбург, Холандия
Apalin Малайзия
Baxi K Мексико, Чили
Behcacin Венецуела, Индия
Belka Индия
Biclin Австрия, Германия, Испания, Мексико, Португалия, Финландия, Швеция
Biodacyna Полша
Biokacin Мексико
Briklin Гърция
Cadicin Индия
Chemacin Италия
Cikabit Индия
Cinamica Индия
Cinas Индия
Consumonit Гърция
Domak Индия
Doxocar Аржентина
Elcin Индия
Elmik Индия
Emcin Индия
Emica Индия
Farcyclin Гърция
Flexelite Гърция
Greini Аржентина
Ipacin Иран
Itukacin Перу
Kancin Гърция
Lanomycin Гърция
Lukadin Италия
Masmika Индия
Mediamik Италия
Micalpha Гърция
Micigen Мексико
Migracin Италия
Mikacin Саудитска Арабия
Nekacin Италия
Novamin Бразилия
Orlobin Гърция
Remikin Гърция
Rovericlin Гърция
Uzix Гърция
Стабилност на разтвори   Инжекция/Инжекционен   Стабилност на разтвори : Amikacin sulfate     
Контейнер Разтворител Концентрация Температура Съхранение Продължителност на стабилността Библиография
Стъкло NaCl 0,9% or Glucose 5% 0,25 & 5 mg/ml -15°C Защита от светлина
30 Ден
561
Степен на доказаност D

Стъкло NaCl 0,9% or Glucose 5% 0,25 & 5 mg/ml 25°C Не е уточнено
24 Час
561
Степен на доказаност D

Стъкло NaCl 0,9% or Glucose 5% 0,25 & 5 mg/ml 4°C Защита от светлина
60 Ден
561
Степен на доказаност D

Стъкло NaCl 0,9% or Glucose 5% 4 mg/ml 25°C Не е уточнено
48 Час
565
Степен на доказаност D

Стъкло Ринтер лактат 0,25 & 5 mg/ml -15°C Защита от светлина
30 Ден
561
Степен на доказаност D

Стъкло Ринтер лактат 0,25 & 5 mg/ml 25°C Не е уточнено
24 Час
561
Степен на доказаност D

Стъкло Ринтер лактат 0,25 & 5 mg/ml 4°C Защита от светлина
60 Ден
561
Степен на доказаност D

Стъкло Sodium chloride 0,45% 0,25 & 5 mg/ml -15°C Защита от светлина
30 Ден
561
Степен на доказаност D

Стъкло Sodium chloride 0,45% 0,25 & 5 mg/ml 25°C Не е уточнено
24 Час
561
Степен на доказаност D

Стъкло Sodium chloride 0,45% 0,25 & 5 mg/ml 4°C Защита от светлина
60 Ден
561
Степен на доказаност D

Поливинил хлорид NaCl 0,9% or Glucose 5% 5 mg/ml 25°C Светлина
48 Час
434

Поливинил хлорид Sodium chloride 0,9% 5 mg/ml 4°C Защита от светлина
8 Час
434

Поливинил хлорид Glucose 5% 20 mg/ml -20°C Защита от светлина
30 Ден
575
Биологичен анализ

Поливинил хлорид Glucose 5% 5 mg/ml 4°C Защита от светлина
48 Час
434

Етилен винил ацетат Sodium chloride 0,9% 0,25 & 5 mg/ml 23°C Защита от светлина
7 Ден
1816
Степен на доказаност A+

Етилен винил ацетат Sodium chloride 0,9% 0,25 & 5 mg/ml 4°C Защита от светлина
30 Ден
1816
Степен на доказаност A+

шприц полипропилен Sodium chloride 0,9% 190 mg/ml 22°C-23°C Светлина
48 Час
639
Степен на доказаност D

Полиизопренов еластомер Glucose 5% 0,25 & 20 mg/ml 25°C Не е уточнено
24 Час
604
Данни за стабилност на производителя


  Mentions Légales