آخر تحديث :
05/12/2025
Infostab
قائمة المركبات
ملخص القوائم
ابحث عن التوافق
جدول توافق موقع ص
مراجع
فرق البحث
valistab
الملصق
الروابط
الرعاة
الكتاب
دليل المستخدم
النشرة الإخبارية
Amikacin sulfate
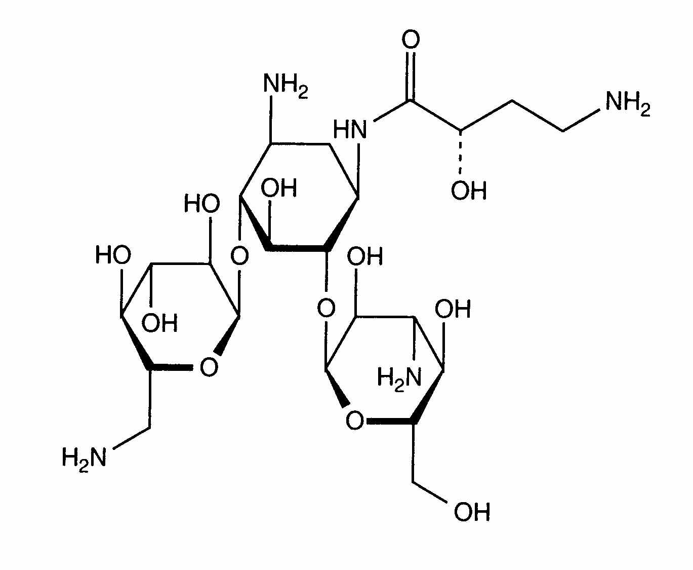
التركيب الكيميائي
حجز الاسم التجاري
تحذير الأسماء التجاريه المختلفه قد تحتوي علي محتوي إضافات مختلفة حسب الدوله و المعمل
Adnet
الهند
Agnicin
المكسيك
Akamin
الإكوادور
Akim
الإكوادور
Amicacil
البرازيل
Amicilon
البرازيل
Amicin
ماليزيا
Amicip
فنزويلا
Amijeksin
تركيا
Amikabiot
الإكوادور, بيرو
Amikacin
ألمانيا, إيران, العربية السعودية, الولايات المتحدة, بريطانيا العظمي, زيلاندا الجديدة, كندا, ماليزيا, مصر
Amikacina
إسبانيا, إيطاليا, الأرجنتين, الإكوادور, المكسيك, بيرو, تشيلي, فنزويلا, كولومبيا
Amikacine
المغرب, بلجيكا, فرنسا, هولندا
Amikafur
المكسيك
Amikagram
بيرو
Amikalem
المكسيك
Amikamed
بيرو
Amikamek
بيرو
Amikan
إيطاليا
Amikavax
فنزويلا
Amikaver
تركيا
Amikayect
المكسيك
Amikem
بيرو
Amiketem
تركيا
Amikin
أستراليا, الإكوادور, البرازيل, العربية السعودية, المكسيك, الولايات المتحدة, ايرلندا, بريطانيا العظمي, بولندا, بيرو, تونس, سويسرا, كولومبيا, مصر, هنغاريا
Amiklin
تركيا, فرنسا
Amikosit
تركيا, تونس, رومانيا
Amikram
بيرو
Amukin
بلجيكا, لوكسمبورغ, هولندا
Apalin
ماليزيا
Baxi K
المكسيك, تشيلي
Behcacin
الهند, فنزويلا
Belka
الهند
Biclin
ألمانيا, إسبانيا, البرتغال, السويد, المكسيك, النمسا, فنلندا
Biodacyna
بولندا
Biokacin
المكسيك
Briklin
يونان
Cadicin
الهند
Chemacin
إيطاليا
Cikabit
الهند
Cinamica
الهند
Cinas
الهند
Consumonit
يونان
Domak
الهند
Doxocar
الأرجنتين
Elcin
الهند
Elmik
الهند
Emcin
الهند
Emica
الهند
Farcyclin
يونان
Flexelite
يونان
Greini
الأرجنتين
Ipacin
إيران
Itukacin
بيرو
Kancin
يونان
Lanomycin
يونان
Lukadin
إيطاليا
Masmika
الهند
Mediamik
إيطاليا
Micalpha
يونان
Micigen
المكسيك
Migracin
إيطاليا
Mikacin
العربية السعودية
Nekacin
إيطاليا
Novamin
البرازيل
Orlobin
يونان
Remikin
يونان
Rovericlin
يونان
Uzix
يونان
الاستقرار في حلول : Amikacin sulfate
0,25 & 5 mg/ml
-15°C
30
561
0,25 & 5 mg/ml
25°C
24
561
0,25 & 5 mg/ml
4°C
60
561
4 mg/ml
25°C
48
565
0,25 & 5 mg/ml
-15°C
30
561
0,25 & 5 mg/ml
25°C
24
561
0,25 & 5 mg/ml
4°C
60
561
0,25 & 5 mg/ml
-15°C
30
561
0,25 & 5 mg/ml
25°C
24
561
0,25 & 5 mg/ml
4°C
60
561
5 mg/ml
25°C
48
434
5 mg/ml
4°C
8
434
20 mg/ml
-20°C
30
575
5 mg/ml
4°C
48
434
0,25 & 5 mg/ml
23°C
7
1816
0,25 & 5 mg/ml
4°C
30
1816
190 mg/ml
22°C-23°C
48
639
0,25 & 20 mg/ml
25°C
24
604
Mentions Légales