viimane versioon :
05/12/2025
antibiootikum   Amikacin sulfate  
Süsteravim
Stabiilsus lahustes Stabiilsust mõjutavad tegurid stabiilsust mõjutavad faktorid Sobimatus Manustamis viis Viited pdf
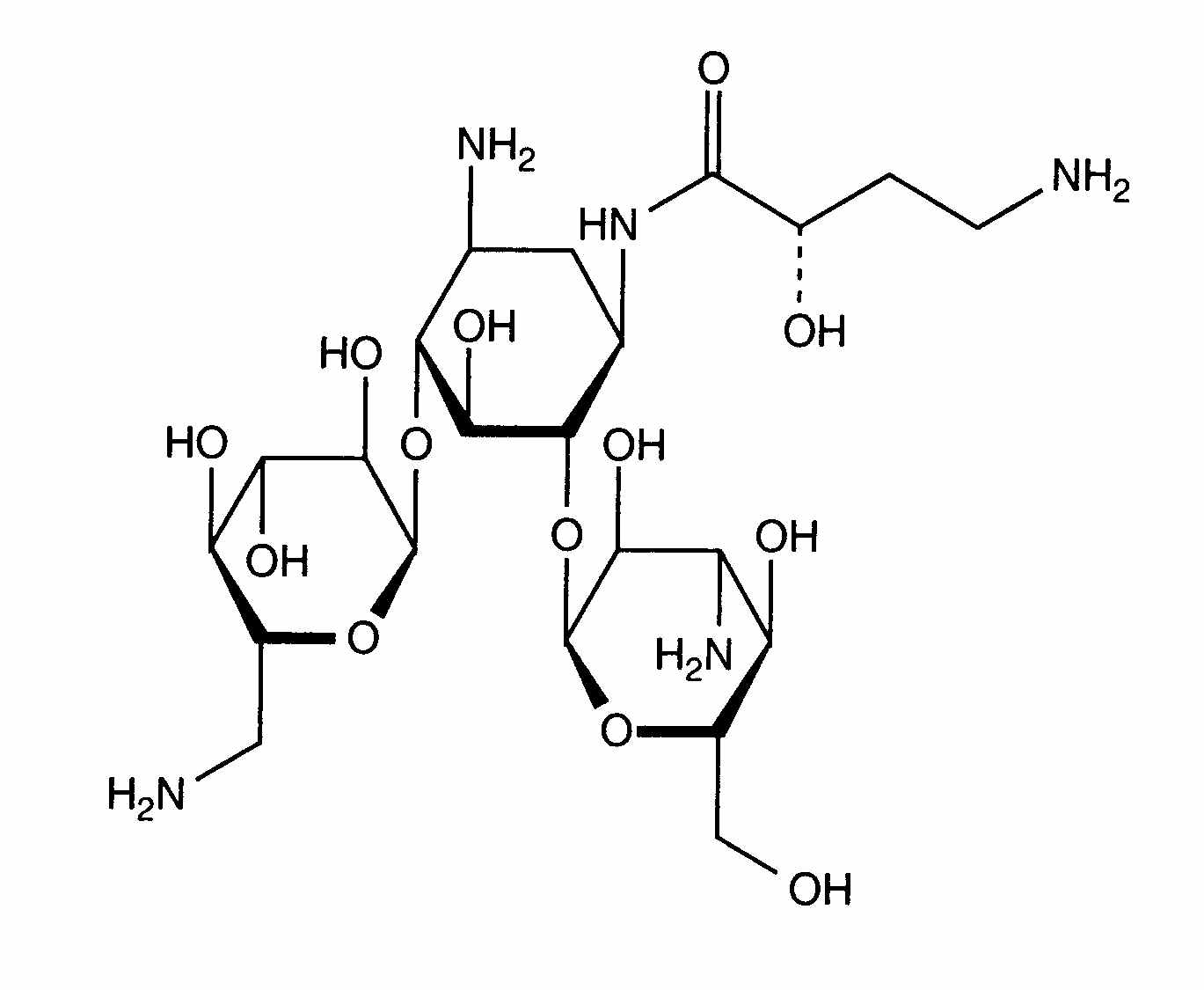
   keemiline struktuur  

Kaubanduslikud nimed erinevates maades   Kaubanduslikud nimed erinevates maades     

Preparaatide nimed on näitlikud ja abianete sisaldus võib erineda sõltuvalt riigist ja laborist

Adnet India
Agnicin Mehhiko
Akamin Ecuador
Akim Ecuador
Amicacil Brasiilia
Amicilon Brasiilia
Amicin Malaisia
Amicip Venetsueela
Amijeksin Türgi
Amikabiot Ecuador, Maroko
Amikacin Ameerika ühendriigid, Egiptus, Iraan, Kanada, Malaisia, Saksamaa, Saudi Araabia, Suurbritannia, uus-Meremaa
Amikacina Argentiina, Ecuador, Hispaania, Itaalia, Kolumbia, Maroko, Mehhiko, Tšiili, Venetsueela
Amikacine Belgia, Holland, Maroko, Prantsusmaa
Amikafur Mehhiko
Amikagram Maroko
Amikalem Mehhiko
Amikamed Maroko
Amikamek Maroko
Amikan Itaalia
Amikavax Venetsueela
Amikaver Türgi
Amikayect Mehhiko
Amikem Maroko
Amiketem Türgi
Amikin Ameerika ühendriigid, Austraalia, Brasiilia, Ecuador, Egiptus, Iirimaa, Kolumbia, Maroko, Mehhiko, Poola, Saudi Araabia, Suurbritannia, Sveits, Tuneesia, Ungari
Amiklin Prantsusmaa, Türgi
Amikosit Rumeenia, Tuneesia, Türgi
Amikram Maroko
Amukin Belgia, Holland, Luksemburg
Apalin Malaisia
Baxi K Mehhiko, Tšiili
Behcacin India, Venetsueela
Belka India
Biclin Austria, Hispaania, Mehhiko, Portugal, Rootsi, Saksamaa, Soome
Biodacyna Poola
Biokacin Mehhiko
Briklin Kreeka
Cadicin India
Chemacin Itaalia
Cikabit India
Cinamica India
Cinas India
Consumonit Kreeka
Domak India
Doxocar Argentiina
Elcin India
Elmik India
Emcin India
Emica India
Farcyclin Kreeka
Flexelite Kreeka
Greini Argentiina
Ipacin Iraan
Itukacin Maroko
Kancin Kreeka
Lanomycin Kreeka
Lukadin Itaalia
Masmika India
Mediamik Itaalia
Micalpha Kreeka
Micigen Mehhiko
Migracin Itaalia
Mikacin Saudi Araabia
Nekacin Itaalia
Novamin Brasiilia
Orlobin Kreeka
Remikin Kreeka
Rovericlin Kreeka
Uzix Kreeka
Stabiilsus lahustes   Süsteravim   Stabiilsus lahustes : Amikacin sulfate     
konteiner lahusti kontsentratsioon temperatuur ladustamine Stabiilsuse kestus Viited
klaas NaCl 0,9% või glükoos 5% 0,25 & 5 mg/ml -15°C kaitsta valguse eest
30 päev
561
Tõenduspõhisuse tase D

klaas NaCl 0,9% või glükoos 5% 0,25 & 5 mg/ml 25°C pole täpsustatud
24 Tund
561
Tõenduspõhisuse tase D

klaas NaCl 0,9% või glükoos 5% 0,25 & 5 mg/ml 4°C kaitsta valguse eest
60 päev
561
Tõenduspõhisuse tase D

klaas NaCl 0,9% või glükoos 5% 4 mg/ml 25°C pole täpsustatud
48 Tund
565
Tõenduspõhisuse tase D

klaas Ringer laktaat 0,25 & 5 mg/ml -15°C kaitsta valguse eest
30 päev
561
Tõenduspõhisuse tase D

klaas Ringer laktaat 0,25 & 5 mg/ml 25°C pole täpsustatud
24 Tund
561
Tõenduspõhisuse tase D

klaas Ringer laktaat 0,25 & 5 mg/ml 4°C kaitsta valguse eest
60 päev
561
Tõenduspõhisuse tase D

klaas naatriumkloriid 0.45% 0,25 & 5 mg/ml -15°C kaitsta valguse eest
30 päev
561
Tõenduspõhisuse tase D

klaas naatriumkloriid 0.45% 0,25 & 5 mg/ml 25°C pole täpsustatud
24 Tund
561
Tõenduspõhisuse tase D

klaas naatriumkloriid 0.45% 0,25 & 5 mg/ml 4°C kaitsta valguse eest
60 päev
561
Tõenduspõhisuse tase D

polüvinüülkloriid NaCl 0,9% või glükoos 5% 5 mg/ml 25°C valgus
48 Tund
434

polüvinüülkloriid naatriumkloriid 0.9% 5 mg/ml 4°C kaitsta valguse eest
8 Tund
434

polüvinüülkloriid glükoos 5% 20 mg/ml -20°C kaitsta valguse eest
30 päev
575
Bioloogiline analüüs

polüvinüülkloriid glükoos 5% 5 mg/ml 4°C kaitsta valguse eest
48 Tund
434

etüleen vinüülatsetaat naatriumkloriid 0.9% 0,25 & 5 mg/ml 23°C kaitsta valguse eest
7 päev
1816
Tõenduspõhisuse tase A+

etüleen vinüülatsetaat naatriumkloriid 0.9% 0,25 & 5 mg/ml 4°C kaitsta valguse eest
30 päev
1816
Tõenduspõhisuse tase A+

süstal  polüpropüleenist naatriumkloriid 0.9% 190 mg/ml 22°C-23°C valgus
48 Tund
639
Tõenduspõhisuse tase D

Polüisopreenist elastomeer glükoos 5% 0,25 & 20 mg/ml 25°C pole täpsustatud
24 Tund
604
Tootja info stabiilsuse kohta


  Mentions Légales