Последнее обновление :
05/12/2025
Антибиотик   Amikacin sulfate  
Инъекция
Стабильность растворов Стабильность смесей Факторы, которые влияют на стабильность Совместимость Способы введения Библиография pdf
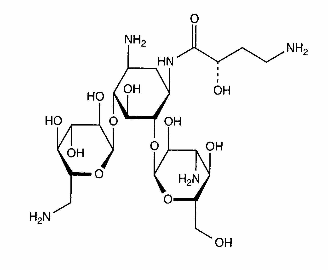
   Химическая структура  

Товарное название   Товарное название     

Trade names are indicative and excipients composition can be different depending on the country and manufacturers

Adnet Индия
Agnicin Мексика
Akamin Эквадор
Akim Эквадор
Amicacil Бразилия
Amicilon Бразилия
Amicin Малайзия
Amicip Венесуэла
Amijeksin Турция
Amikabiot Перу, Эквадор
Amikacin Великобритания, Германия, Египет, Иран, Канада, Малайзия, новая Зеландия, Саудовская Аравия, Соединённые Штаты Америки
Amikacina Аргентина, Венесуэла, Испания, Италия, Колумбия, Мексика, Перу, чили, Эквадор
Amikacine Бельгия, Голландия, Марокко, Франция
Amikafur Мексика
Amikagram Перу
Amikalem Мексика
Amikamed Перу
Amikamek Перу
Amikan Италия
Amikavax Венесуэла
Amikaver Турция
Amikayect Мексика
Amikem Перу
Amiketem Турция
Amikin Австралия, Бразилия, Великобритания, Венгрия, Египет, Ирландия, Колумбия, Мексика, Перу, Польша, Саудовская Аравия, Соединённые Штаты Америки, Тунис, Швейцария, Эквадор
Amiklin Турция, Франция
Amikosit Румыния, Тунис, Турция
Amikram Перу
Amukin Бельгия, Голландия, Люксембург
Apalin Малайзия
Baxi K Мексика, чили
Behcacin Венесуэла, Индия
Belka Индия
Biclin Австрия, Германия, Испания, Мексика, Португалия, Финляндия, Швеция
Biodacyna Польша
Biokacin Мексика
Briklin Греция
Cadicin Индия
Chemacin Италия
Cikabit Индия
Cinamica Индия
Cinas Индия
Consumonit Греция
Domak Индия
Doxocar Аргентина
Elcin Индия
Elmik Индия
Emcin Индия
Emica Индия
Farcyclin Греция
Flexelite Греция
Greini Аргентина
Ipacin Иран
Itukacin Перу
Kancin Греция
Lanomycin Греция
Lukadin Италия
Masmika Индия
Mediamik Италия
Micalpha Греция
Micigen Мексика
Migracin Италия
Mikacin Саудовская Аравия
Nekacin Италия
Novamin Бразилия
Orlobin Греция
Remikin Греция
Rovericlin Греция
Uzix Греция
Стабильность растворов   Инъекция   Стабильность растворов : Amikacin sulfate     
Упаковка Растворитель Концентрация Температура Хранение Продолжительность стабильности Ссылки
Стекло NaCl 0,9%  Глюкоза 5% 0,25 & 5 mg/ml -15°C Защищён от света
30 День
561
Уровень доказательности D

Стекло NaCl 0,9%  Глюкоза 5% 0,25 & 5 mg/ml 25°C Не указано
24 Час
561
Уровень доказательности D

Стекло NaCl 0,9%  Глюкоза 5% 0,25 & 5 mg/ml 4°C Защищён от света
60 День
561
Уровень доказательности D

Стекло NaCl 0,9%  Глюкоза 5% 4 mg/ml 25°C Не указано
48 Час
565
Уровень доказательности D

Стекло Раствор Рингера лактата 0,25 & 5 mg/ml -15°C Защищён от света
30 День
561
Уровень доказательности D

Стекло Раствор Рингера лактата 0,25 & 5 mg/ml 25°C Не указано
24 Час
561
Уровень доказательности D

Стекло Раствор Рингера лактата 0,25 & 5 mg/ml 4°C Защищён от света
60 День
561
Уровень доказательности D

Стекло Натрия хлорид 0,45% 0,25 & 5 mg/ml -15°C Защищён от света
30 День
561
Уровень доказательности D

Стекло Натрия хлорид 0,45% 0,25 & 5 mg/ml 25°C Не указано
24 Час
561
Уровень доказательности D

Стекло Натрия хлорид 0,45% 0,25 & 5 mg/ml 4°C Защищён от света
60 День
561
Уровень доказательности D

Поливинилхлорид NaCl 0,9%  Глюкоза 5% 5 mg/ml 25°C Свет
48 Час
434

Поливинилхлорид Натрия хлорид 0,9% 5 mg/ml 4°C Защищён от света
8 Час
434

Поливинилхлорид Глюкоза 5% 20 mg/ml -20°C Защищён от света
30 День
575
Биологический метод

Поливинилхлорид Глюкоза 5% 5 mg/ml 4°C Защищён от света
48 Час
434

Этилен-винилацетат Натрия хлорид 0,9% 0,25 & 5 mg/ml 23°C Защищён от света
7 День
1816
Уровень доказательности A +

Этилен-винилацетат Натрия хлорид 0,9% 0,25 & 5 mg/ml 4°C Защищён от света
30 День
1816
Уровень доказательности A +

Шприц полипропилен Натрия хлорид 0,9% 190 mg/ml 22°C-23°C Свет
48 Час
639
Уровень доказательности D

Полиизопреновый эластомер Глюкоза 5% 0,25 & 20 mg/ml 25°C Не указано
24 Час
604
Данные по стабльности от изготовителя


  Mentions Légales