Son güncelleme :
18/03/2026
Antibiyotik   Netilmicin sulfate  
Enjeksiyon
Aerosol
Çözeltilerin stabilitesi Karışımlardaki stabilitesi Stabiliteyi etkileyen faktörler Uyumluluk Uygulama yöntemi Kaynaklar pdf
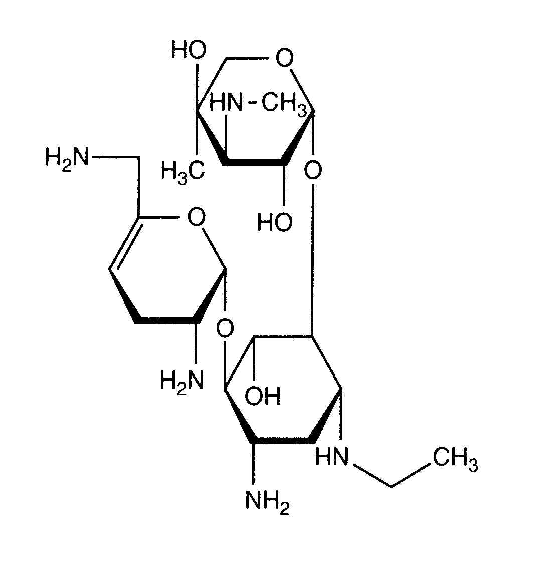
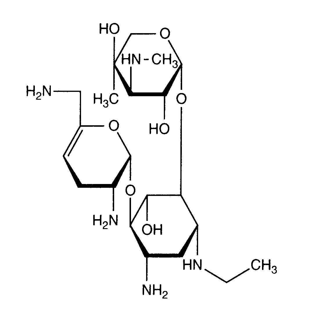
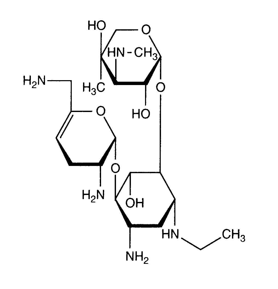
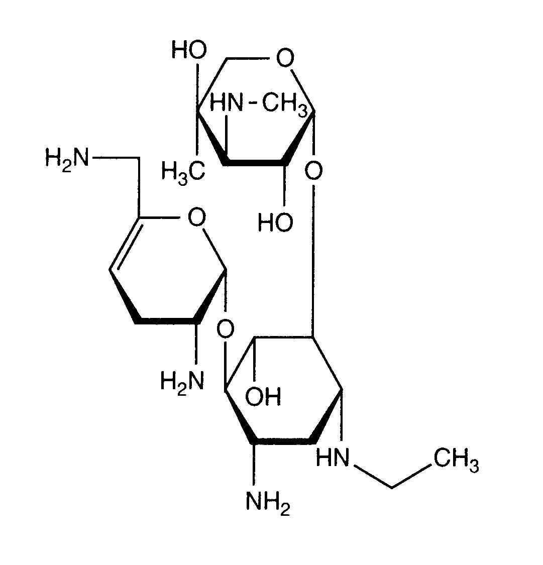
   Kimyasal yapı   

Ticari isim   Ticari isim     

Trade names are indicative and excipients composition can be different depending on the country and manufacturers

Bactob Hindistan
Beltob Hindistan
Bramicil İtalya
Brulamycin Macaristan
Eltol Hindistan
Fytobra Hindistan
Gernebcin Almanya
Komitub Hindistan
Nebcin Avustralya, Birleşik Arap Emirlikleri, Büyük Britanya, Mısır, Suudi Arabistan, yeni Zelanda, Yunanistan
Nebcina Danimarka, Fas, İsveç, Norveç
Nebcine Fas
Nebicina İtalya
Netilyn Finlandiya, İsveç
Netromicina Portekiz
Netromicine Fransa
Netromycine Polonya, rusça, Türkiye, Yunanistan
Nettacin İtalya
Obracin Belçika, Hollanda, İsviçre, Lüksemburg
Tobra Almanya
Tobra Alex Mısır
Tobra Day yeni Zelanda
Tobra Gobens İspanya
Tobracin Mısır
Tobradistin İspanya
Tobramicina İspanya, İtalya, Portekiz, Venezuela
Tobramina Brezilya
Tobramycin Almanya, Amerika Birleşik Devletleri, Avustralya, Büyük Britanya, İrlanda, Kanada, Norveç, Suudi Arabistan
Tobramycine Fransa, Hollanda, İrlanda
Tobrasix Avusturya
Tobrazid Almanya
Tomycin Finlandiya
Zetamicin İtalya

Stabiliteyi etkileyen faktörler    Enjeksiyon    Stabiliteyi etkileyen faktörler : Netilmicin sulfate        
veri yok

  Mentions Légales