آخر تحديث :
18/03/2026
مضاد حيوي   Netilmicin sulfate  
حقن
الأيروصولات
الاستقرار في حلول استقرار مخاليط العوامل التي تؤثر على الاستقرار التوافق طريقة التعاطي مراجع pdf
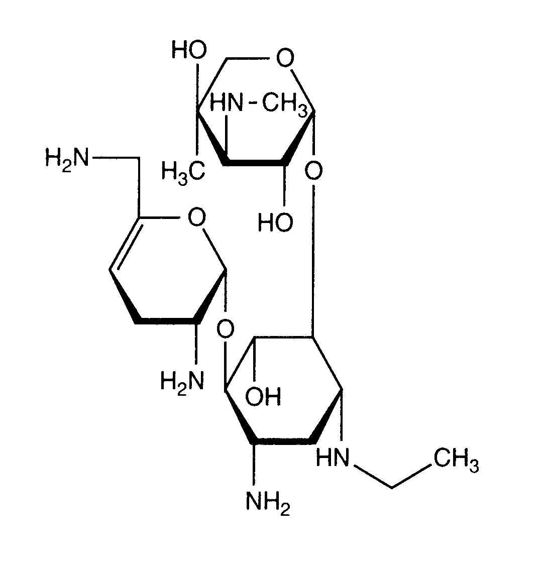
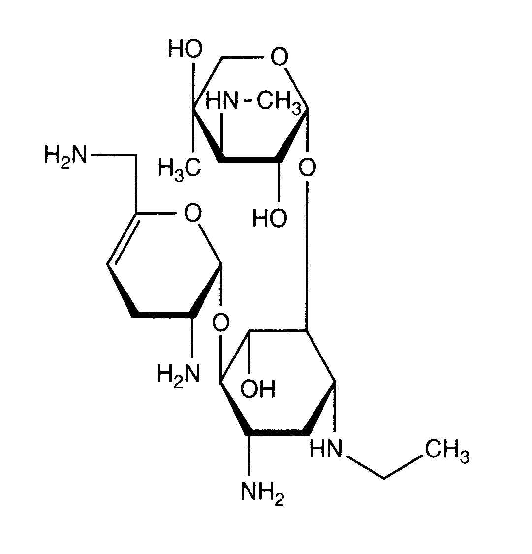
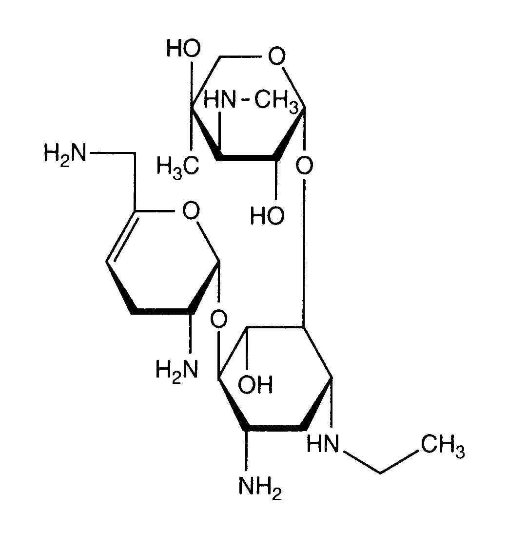
   التركيب الكيميائي  

حجز الاسم التجاري   حجز الاسم التجاري     

تحذير الأسماء التجاريه المختلفه قد تحتوي علي محتوي إضافات مختلفة حسب الدوله و المعمل

Bactob الهند
Beltob الهند
Bramicil إيطاليا
Brulamycin هنغاريا
Eltol الهند
Fytobra الهند
Gernebcin ألمانيا
Komitub الهند
Nebcin أستراليا, الإمارات العربية المتحدة, العربية السعودية, بريطانيا العظمي, زيلاندا الجديدة, مصر, يونان
Nebcina الدنمارك, السويد, المغرب, النرويج
Nebcine المغرب
Nebicina إيطاليا
Netilyn السويد, فنلندا
Netromicina البرتغال
Netromicine فرنسا
Netromycine الروسية, بولندا, تركيا, يونان
Nettacin إيطاليا
Obracin بلجيكا, سويسرا, لوكسمبورغ, هولندا
Tobra ألمانيا
Tobra Alex مصر
Tobra Day زيلاندا الجديدة
Tobra Gobens إسبانيا
Tobracin مصر
Tobradistin إسبانيا
Tobramicina إسبانيا, إيطاليا, البرتغال, فنزويلا
Tobramina البرازيل
Tobramycin أستراليا, ألمانيا, العربية السعودية, النرويج, الولايات المتحدة, ايرلندا, بريطانيا العظمي, كندا
Tobramycine ايرلندا, فرنسا, هولندا
Tobrasix النمسا
Tobrazid ألمانيا
Tomycin فنلندا
Zetamicin إيطاليا

العوامل التي تؤثر على الاستقرار   حقن   العوامل التي تؤثر على الاستقرار : Netilmicin sulfate        
لا توجد بيانات

  Mentions Légales