Utolsó frissítés :
18/03/2026
Antibiotikum   Netilmicin sulfate  
Injekció
aeroszol
Az oldatok stabilitása A keverékek stabilitása Stabilitást befolyásoló tényezők Kompatibilitás Az alkalmazás módja Irodalom pdf
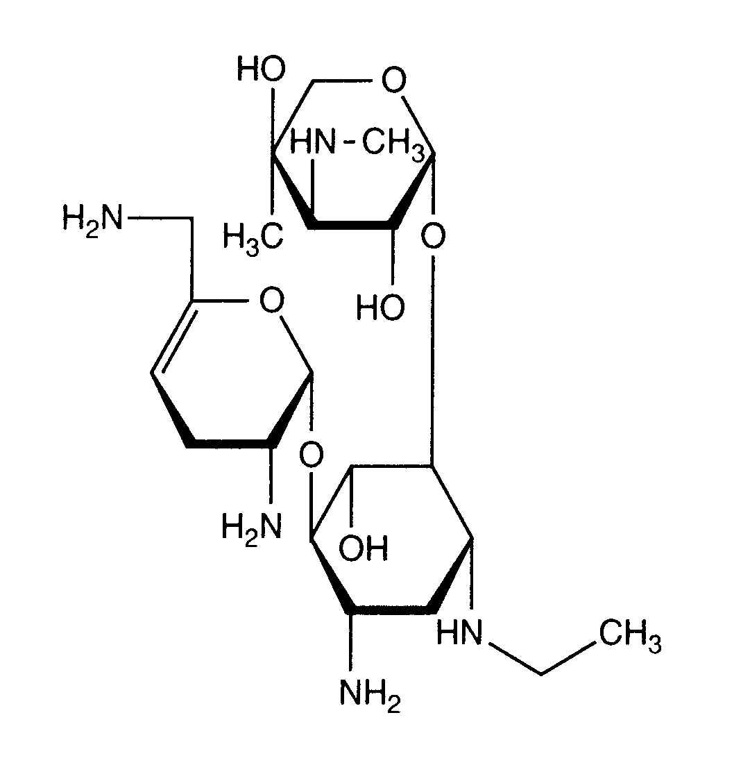
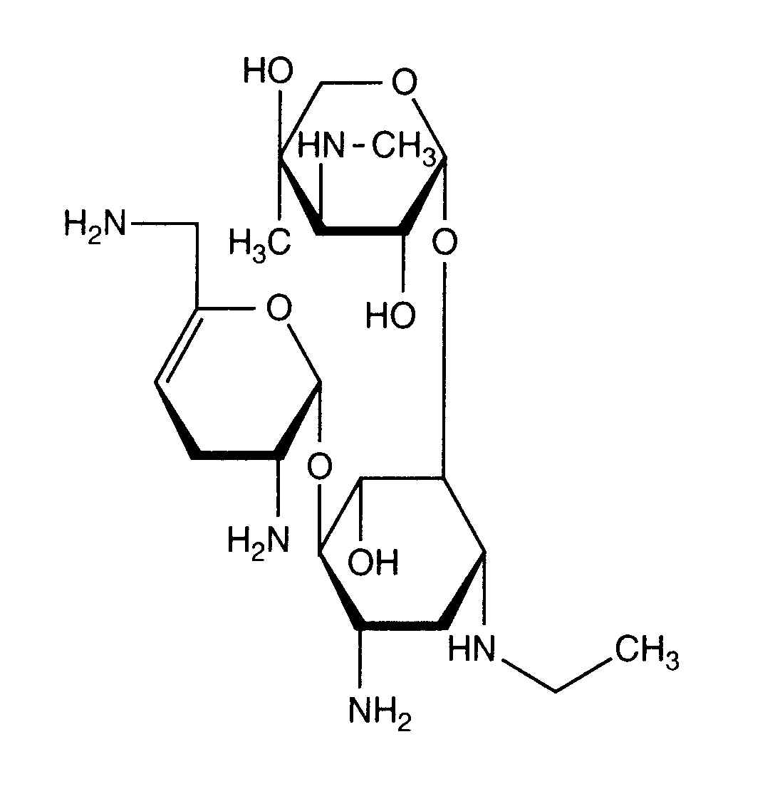
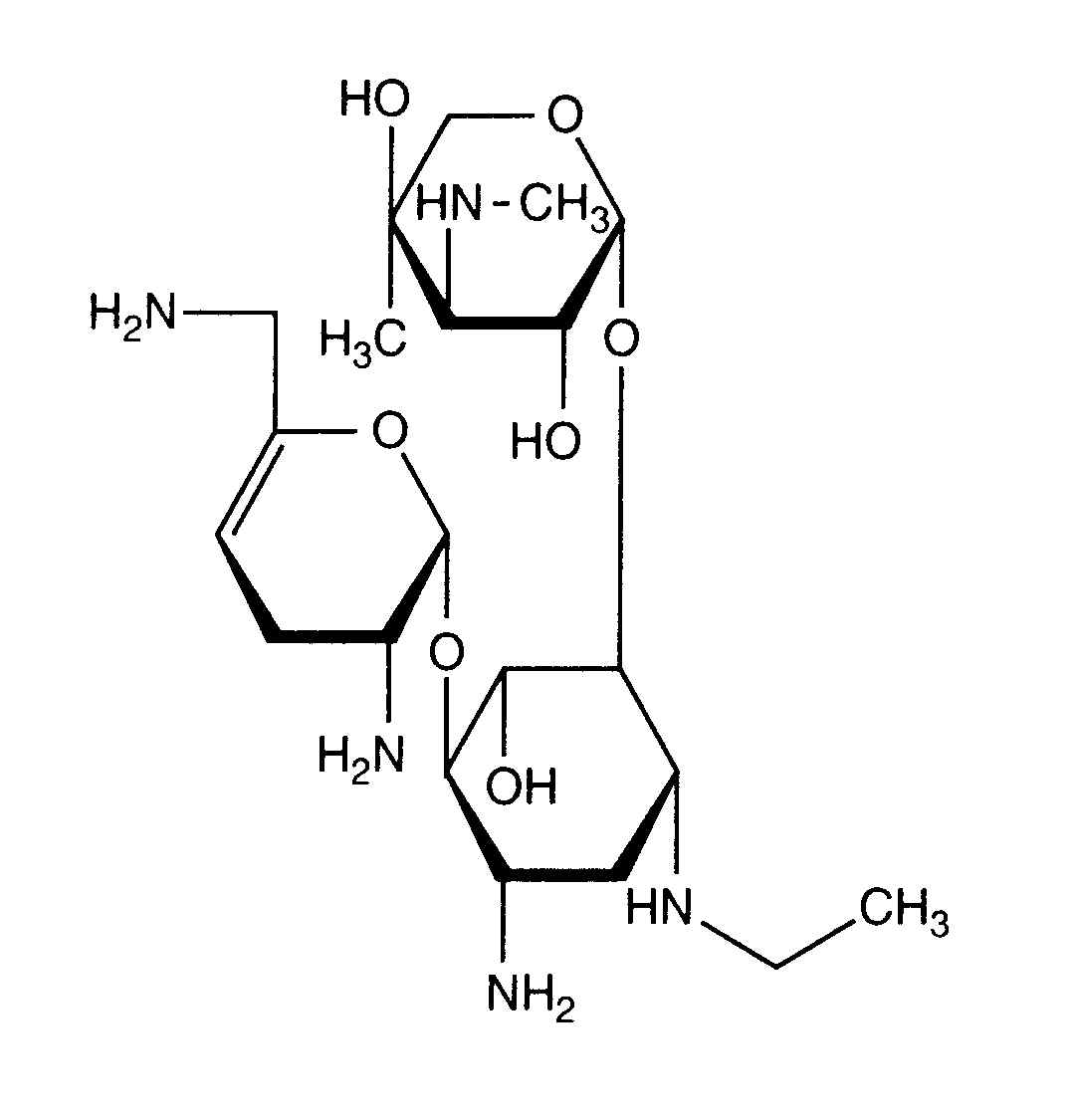
   Kémiai szerkezet   

Kereskedelmi név   Kereskedelmi név     

A kereskedelmi név meghatározó jelentőségű: a készítmények összetétele országonként, előállítóként eltérő lehet

Bactob India
Beltob India
Bramicil Olaszország
Brulamycin Magyarország
Eltol India
Fytobra India
Gernebcin Németország
Komitub India
Nebcin Ausztrália, Egyesült Arab Emírségek, Egyiptom, Görögország, Nagy-Britannia, Szaúd-Arábiában, új-Zéland
Nebcina Dánia, Marokkó, Norvégia, Svédország
Nebcine Marokkó
Nebicina Olaszország
Netilyn Finnország, Svédország
Netromicina Portugália
Netromicine Franciaország
Netromycine Görögország, Lengyelország, orosz, Törökország
Nettacin Olaszország
Obracin Belgium, Hollandia, Luxemburg, Svájc
Tobra Németország
Tobra Alex Egyiptom
Tobra Day új-Zéland
Tobra Gobens Spanyolország
Tobracin Egyiptom
Tobradistin Spanyolország
Tobramicina Olaszország, Portugália, Spanyolország, Venezuela
Tobramina Brazília
Tobramycin Amerikai Egyesült Államok, Ausztrália, Írország, Kanada, Nagy-Britannia, Németország, Norvégia, Szaúd-Arábiában
Tobramycine Franciaország, Hollandia, Írország
Tobrasix Ausztria
Tobrazid Németország
Tomycin Finnország
Zetamicin Olaszország

Stabilitást befolyásoló tényezők   Injekció   Stabilitást befolyásoló tényezők : Netilmicin sulfate        
Hiányzó adat

  Mentions Légales