Letztes “update” :
18/03/2026
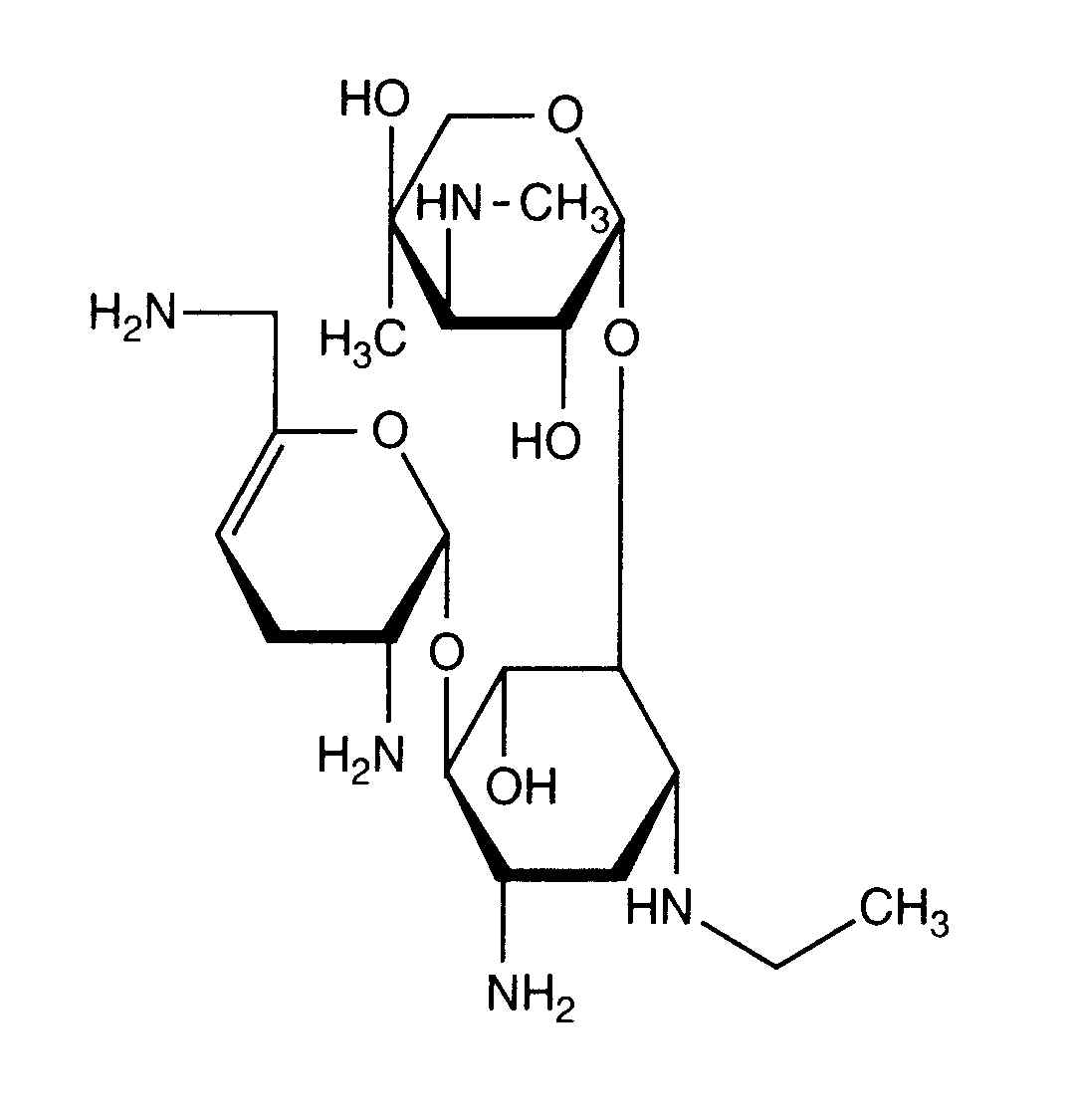
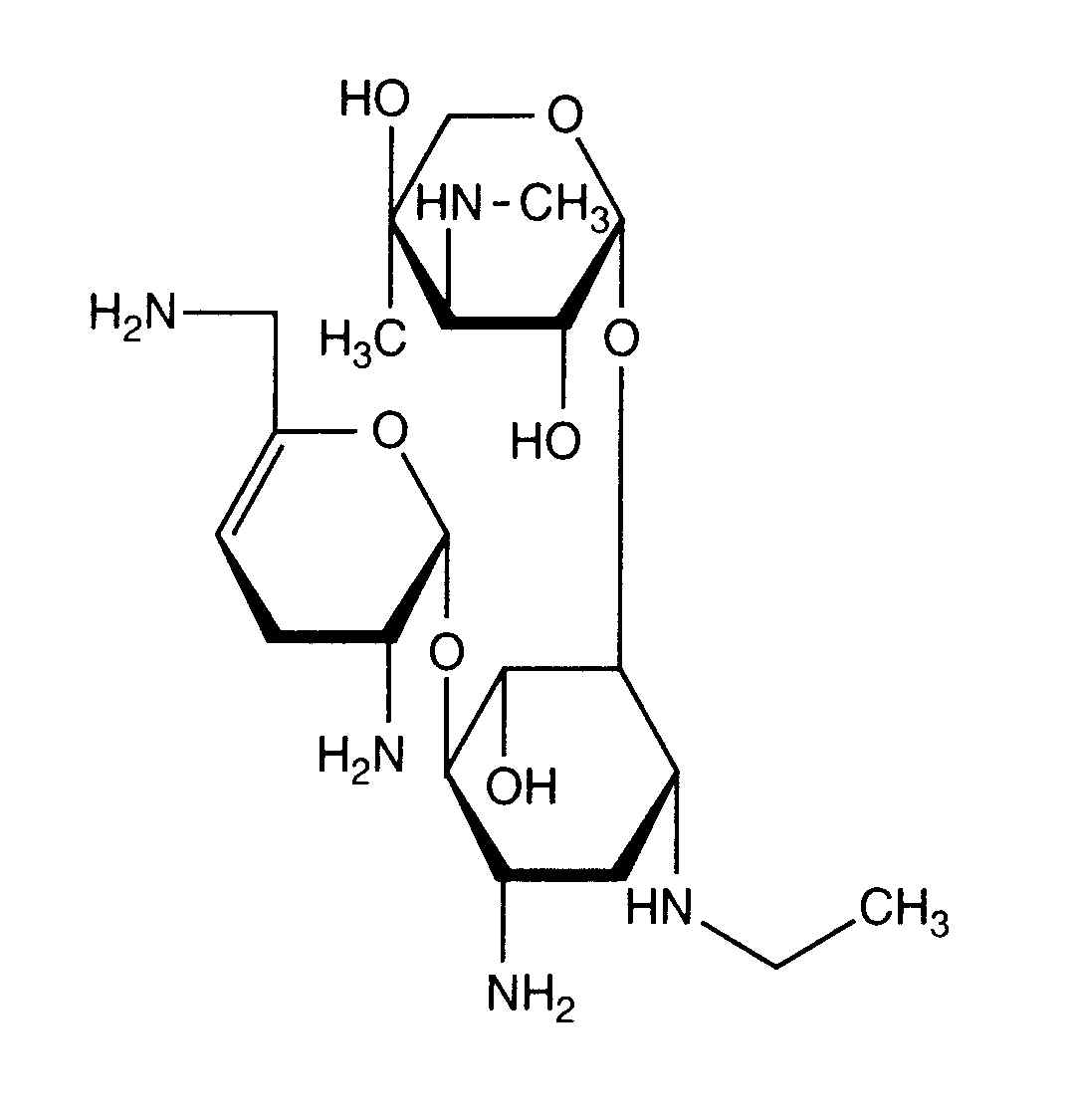
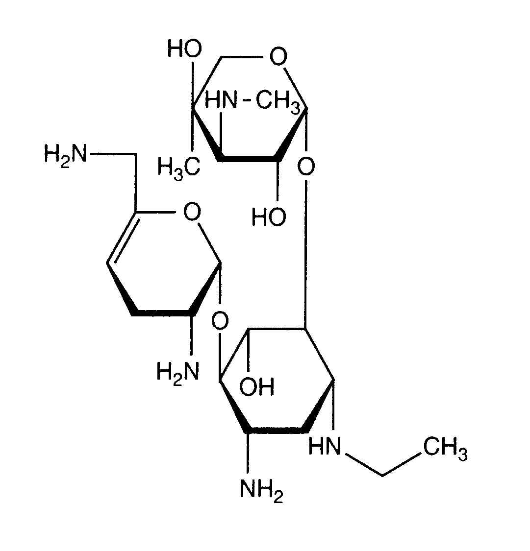
Antibiotikum   Netilmicin sulfate  
Injektion
Aerosol
Stabilität der Lösung Gemengestabilität Stabilitätbeeinflussende Faktoren Kompatibilitäten Applikationsart Literaturverzeichnis pdf
   Chemische Struktur  

Handelsmarke   Handelsmarke     

Handelsnamen sind als beispielhaft anzusehen. Sonstige Bestandteile können je nach Hersteller oder Land verschieden sein

Bactob Indien
Beltob Indien
Bramicil Italien
Brulamycin Ungarn
Eltol Indien
Fytobra Indien
Gernebcin Deutschland
Komitub Indien
Nebcin Ägypten, Australien, Griechenland, Großbritannien, Neuseeland, Saudi-Arabien, Vereinigte Arabische Emirate
Nebcina Dänemark, Marokko, Norwegen, Schweden
Nebcine Marokko
Nebicina Italien
Netilyn Finnland, Schweden
Netromicina Portugal
Netromicine Frankreich
Netromycine Griechenland, Polen, russisch, Türkei
Nettacin Italien
Obracin Belgien, Luxemburg, Niederlande, Schweiz
Tobra Deutschland
Tobra Alex Ägypten
Tobra Day Neuseeland
Tobra Gobens Spanien
Tobracin Ägypten
Tobradistin Spanien
Tobramicina Italien, Portugal, Spanien, Venezuela
Tobramina Brasilien
Tobramycin Australien, Deutschland, Großbritannien, Irland, Kanada, Norwegen, Saudi-Arabien, Vereinigte Staaten von Amerika
Tobramycine Frankreich, Irland, Niederlande
Tobrasix Österreich
Tobrazid Deutschland
Tomycin Finnland
Zetamicin Italien

Stabilitätbeeinflussende Faktoren   Injektion   Stabilitätbeeinflussende Faktoren : Netilmicin sulfate        
Keine Daten

  Mentions Légales