Poslední aktualizace :
18/03/2026
Antibiotikas   Netilmicin sulfate  
Įpurškimas
Aerozolis
Tirpalų stabilumas Mišinių stabilumas Stabilumą lemiantys veiksniai Suderinamumas Leidimo būdai Bibliografija pdf
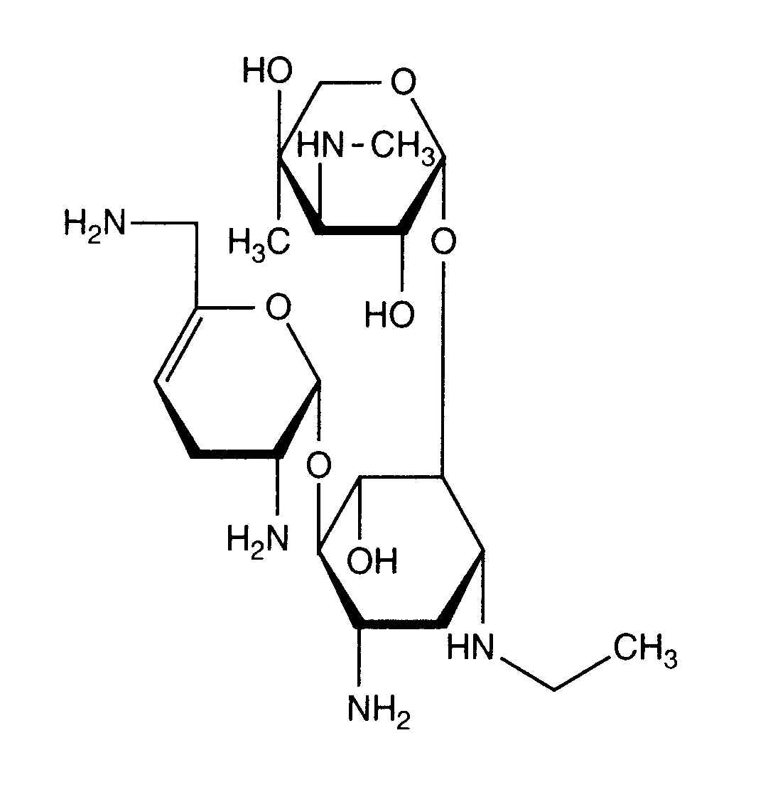
   Cheminė sandara  

Prekinis pavadinimas   Prekinis pavadinimas     

Trade names are indicative and excipients composition can be different depending on the country and manufacturers

Bactob Indija
Beltob Indija
Bramicil Italija
Brulamycin Vengrija
Eltol Indija
Fytobra Indija
Gernebcin Vokietija
Komitub Indija
Nebcin Australija, Didžioji Britanija, Egiptas, Graikija, Jungtiniai Arabų Emyratai, Naujojoje Zelandijoje, Saudo Arabija
Nebcina Danija, Marokas, Norvegija, Švedija
Nebcine Marokas
Nebicina Italija
Netilyn Suomija, Švedija
Netromicina Portugalija
Netromicine Prancūzija
Netromycine Graikija, Lenkija, rusų, Turkija
Nettacin Italija
Obracin Belgija, Liuksemburgas, Olandija, Šveicarija
Tobra Vokietija
Tobra Alex Egiptas
Tobra Day Naujojoje Zelandijoje
Tobra Gobens Ispanija
Tobracin Egiptas
Tobradistin Ispanija
Tobramicina Ispanija, Italija, Portugalija, Venesuela
Tobramina Brazilija
Tobramycin Airija, Australija, Didžioji Britanija, Jungtinės Amerikos Valstijos, Kanada, Norvegija, Saudo Arabija, Vokietija
Tobramycine Airija, Olandija, Prancūzija
Tobrasix Austrija
Tobrazid Vokietija
Tomycin Suomija
Zetamicin Italija

Stabilumą lemiantys veiksniai   Įpurškimas   Stabilumą lemiantys veiksniai : Netilmicin sulfate        
Nėra duomenų

  Mentions Légales