Poslední aktualizace :
18/03/2026
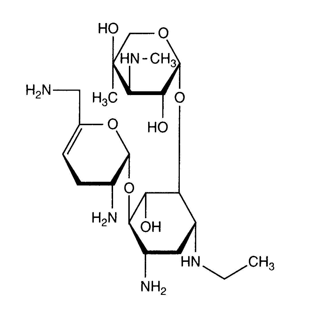
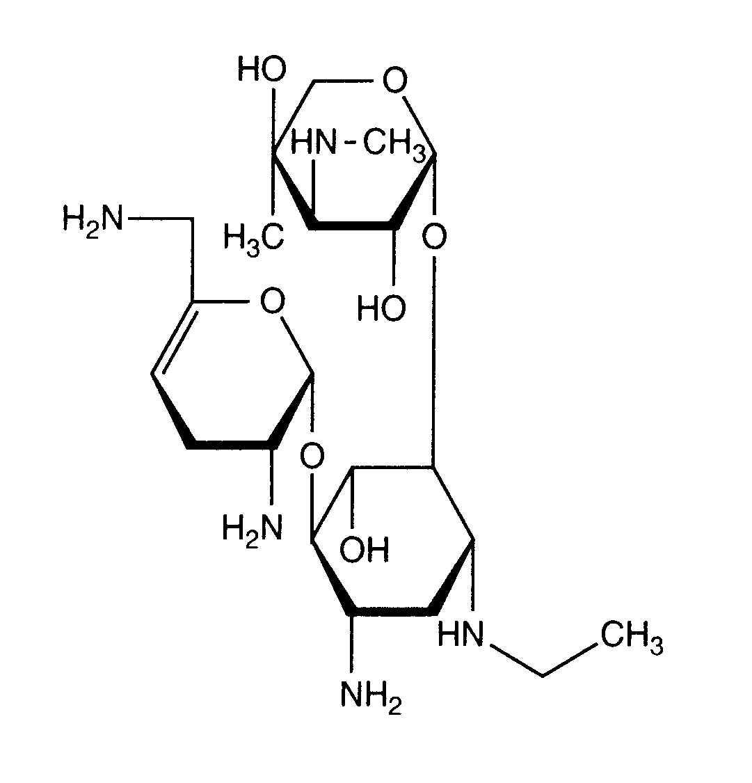
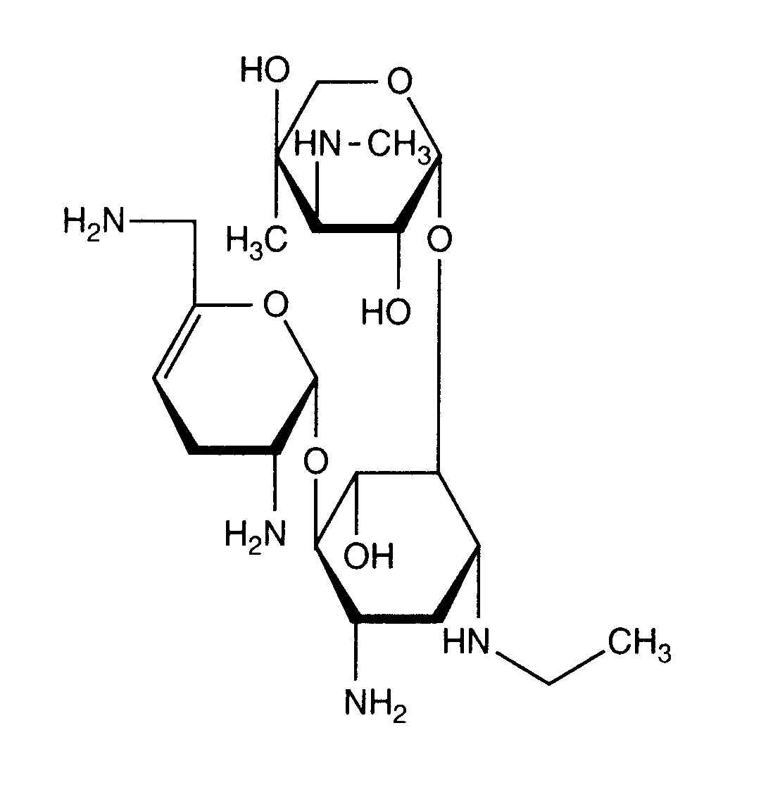
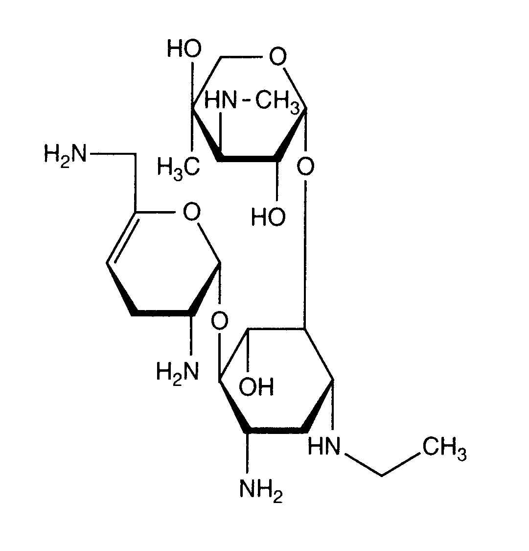
Antibiotikum   Netilmicin sulfate  
injekce
Aerosol
Stabilita roztoků Stabilita směsí Faktory ovlivňující stabilitu Kompatibilita Způsoby aplikace Odkazy pdf
   Chemický vzorec  

Obchodní název   Obchodní název     

Trade names are indicative and excipients composition can be different depending on the country and manufacturers

Bactob Indie
Beltob Indie
Bramicil Itálie
Brulamycin MaÔarsko
Eltol Indie
Fytobra Indie
Gernebcin NÏmecko
Komitub Indie
Nebcin Austrálie, Egypt, nový Zéland, Saúdská Arábie, Spojené arabské emiráty, Velká Británie, ÿecko
Nebcina Dánsko, Maroko, Norsko, Švédsko
Nebcine Maroko
Nebicina Itálie
Netilyn Finsko, Švédsko
Netromicina Portugalsko
Netromicine Francie
Netromycine Polsko, rusky, Turecko, ÿecko
Nettacin Itálie
Obracin Belgie, Lucembursko, Nizozemsko, Švýcarsko
Tobra NÏmecko
Tobra Alex Egypt
Tobra Day nový Zéland
Tobra Gobens äpanÏlsko
Tobracin Egypt
Tobradistin äpanÏlsko
Tobramicina äpanÏlsko, Itálie, Portugalsko, Venezuela
Tobramina BrazÌlie
Tobramycin Austrálie, Irsko, Kanada, NÏmecko, Norsko, Saúdská Arábie, USA, Velká Británie
Tobramycine Francie, Irsko, Nizozemsko
Tobrasix Rakousko
Tobrazid NÏmecko
Tomycin Finsko
Zetamicin Itálie

Faktory ovlivňující stabilitu   injekce   Faktory ovlivňující stabilitu : Netilmicin sulfate        
žádná data

  Mentions Légales