Posledná aktualizácia :
18/03/2026
antibiotikum   Piperacillin sodium / tazobactam  
Injekcia
Stabilita roztokov Stabilita v zmesiach Faktory ovplyvňujúce stabilitu Kompatibility spôsob podania Odkazy na literatúru PDF
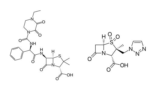
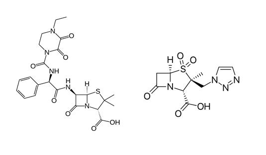
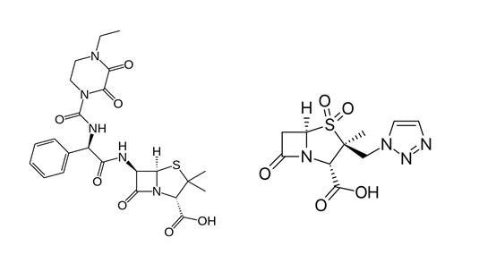
   Chemický vzorec  

Obchodný názov   Obchodný názov     

Obchodné názvy sú orientačné, a zloženie pomocných látok sa môže líšiť v závislosti od krajiny a výrobcu.

Bagotaz Argentína
Betampil Ekvádor
Bioval Čile
Petezam Argentína
Piperac Nemecko
Piperacillin tazobactam Belgicko, Kanada, Nemecko
Piperazam Brazília
Pipetazo Čile
Pipitaz Rakúsko
Pixamol Kolumbia
Tazobac Ekvádor, Portugalsko, Švajčiarsko, Taliansko
Tazocel Španielsko
Tazocilline Francúzsko
Tazocin Argentína, Austrália, Brazília, Chorvátsko, Dánsko, Egypt, Fínsko, Grécko, Holandsko, Juhoafrická republika, Kolumbia, Luxembursko, Maďarsko, Mexiko, Nórsko, nový Zéland, peru, Poľsko, Severné Írsko, Spojené arabské emiráty, Švédsko, Taliansko, Turecko, Veľká Británia
Tazonam Čile, Rakúsko
Tazopip Austrália
Tazpen Kolumbia, Mexiko
Tazrobida Kolumbia
Tigux Čile
Tratac Čile
Trital Ekvádor
Zosyn Japonsko, Spojené štáty Americké

Faktory ovplyvňujúce stabilitu   Injekcia   Faktory ovplyvňujúce stabilitu : Piperacillin sodium / tazobactam        

  Mentions Légales