Τελευταία ενημέρωση :
18/03/2026
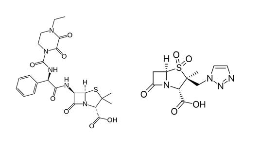
Αντιβιοτικό   Piperacillin sodium / tazobactam  
Ενέσιμο
Σταθερότητα διαλυμάτων Σταθερότητα σε μίγματα Παράγοντας που επηρεάζει τη σταθερότητα Συμβατότητες Τρόπος χορήγησης Βιβλιογραφία pdf
   χημική δομή  

Εμπορική ονομασία   Εμπορική ονομασία     

Οι εμπορικές ονομασίες είναι ενδεικτικές και η σύνθεση των εκδόχων μπορεί να διαφέρει ανάλογα με τη χώρα και τα εργαστήρια

Bagotaz Αργεντινή
Betampil Εκουαδόρ
Bioval Χιλή
Petezam Αργεντινή
Piperac Γερμανία
Piperacillin tazobactam Βέλγιο, Γερμανία, Καναδάς
Piperazam Βραζιλία
Pipetazo Χιλή
Pipitaz Αυστρία
Pixamol Κολομβία
Tazobac Εκουαδόρ, Ελβετία, Ιταλία, Πορτογαλία
Tazocel Ισπανία
Tazocilline Γαλλία
Tazocin Yhdistyneet arabiemiirikunnat, Αίγυπτος, Αργεντινή, Αυστραλία, Βόρεια Ιρλανδία, Βραζιλία, Δανία, Ελλάδα, Ιταλία, Κολομβία, Κροατία, Λουξεμβούργο, Μεγάλη Βρετανία, Μεξικό, νέα Ζηλανδία, Νορβηγία, Νότιος Αφρική, Ολλανδία, Ουγγαρία, Περού, Πολωνία, Σουηδία, Τουρκία, Φινλανδία
Tazonam Αυστρία, Χιλή
Tazopip Αυστραλία
Tazpen Κολομβία, Μεξικό
Tazrobida Κολομβία
Tigux Χιλή
Tratac Χιλή
Trital Εκουαδόρ
Zosyn Η.Π.Α., Ιαπωνία

Παράγοντας που επηρεάζει τη σταθερότητα   Ενέσιμο   Παράγοντας που επηρεάζει τη σταθερότητα : Piperacillin sodium / tazobactam        

  Mentions Légales