viimane versioon :
18/03/2026
antibiootikum   Piperacillin sodium / tazobactam  
Süsteravim
Stabiilsus lahustes Stabiilsust mõjutavad tegurid stabiilsust mõjutavad faktorid Sobimatus Manustamis viis Viited pdf
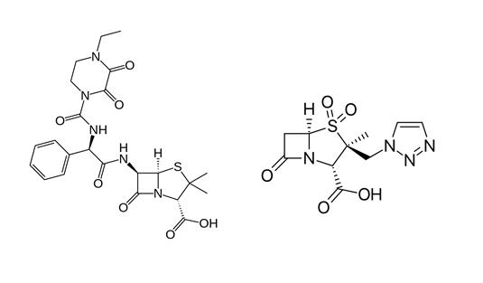
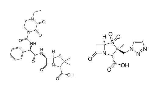
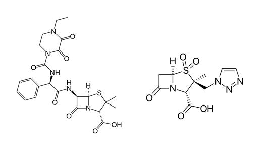
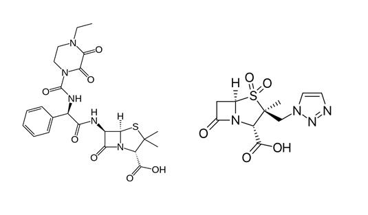
   keemiline struktuur  

Kaubanduslikud nimed erinevates maades   Kaubanduslikud nimed erinevates maades     

Preparaatide nimed on näitlikud ja abianete sisaldus võib erineda sõltuvalt riigist ja laborist

Bagotaz Argentiina
Betampil Ecuador
Bioval Tšiili
Petezam Argentiina
Piperac Saksamaa
Piperacillin tazobactam Belgia, Kanada, Saksamaa
Piperazam Brasiilia
Pipetazo Tšiili
Pipitaz Austria
Pixamol Kolumbia
Tazobac Ecuador, Itaalia, Portugal, Sveits
Tazocel Hispaania
Tazocilline Prantsusmaa
Tazocin Araabia Ühendemiraadid, Argentiina, Austraalia, Brasiilia, Egiptus, Holland, Horvaatia, Itaalia, Kolumbia, Kreeka, Lõuna Aafrika Vabariik, Luksemburg, Maroko, Mehhiko, Norra, Põhja-Iirimaa, Poola, Rootsi, Soome, Suurbritannia, Taani, Türgi, Ungari, uus-Meremaa
Tazonam Austria, Tšiili
Tazopip Austraalia
Tazpen Kolumbia, Mehhiko
Tazrobida Kolumbia
Tigux Tšiili
Tratac Tšiili
Trital Ecuador
Zosyn Ameerika ühendriigid, Jaapan

stabiilsust mõjutavad faktorid   Süsteravim   stabiilsust mõjutavad faktorid : Piperacillin sodium / tazobactam        

  Mentions Légales