Poslední aktualizace :
18/03/2026
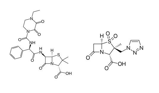
Antibiotikum   Piperacillin sodium / tazobactam  
injekce
Stabilita roztoků Stabilita směsí Faktory ovlivňující stabilitu Kompatibilita Způsoby aplikace Odkazy pdf
   Chemický vzorec  

Obchodní název   Obchodní název     

Trade names are indicative and excipients composition can be different depending on the country and manufacturers

Bagotaz Argentina
Betampil Ekvádor
Bioval Chile
Petezam Argentina
Piperac NÏmecko
Piperacillin tazobactam Belgie, Kanada, NÏmecko
Piperazam BrazÌlie
Pipetazo Chile
Pipitaz Rakousko
Pixamol Kolumbie
Tazobac Ekvádor, Itálie, Portugalsko, Švýcarsko
Tazocel äpanÏlsko
Tazocilline Francie
Tazocin Argentina, Austrálie, BrazÌlie, Chorvatsko, Dánsko, Egypt, Finsko, Itálie, Jihoafrická republika, Kolumbie, Lucembursko, MaÔarsko, Mexiko, Nizozemsko, Norsko, nový Zéland, Peru, Polsko, Severní Irsko, Spojené arabské emiráty, Švédsko, Turecko, Velká Británie, ÿecko
Tazonam Chile, Rakousko
Tazopip Austrálie
Tazpen Kolumbie, Mexiko
Tazrobida Kolumbie
Tigux Chile
Tratac Chile
Trital Ekvádor
Zosyn Japonsko, USA

Faktory ovlivňující stabilitu   injekce   Faktory ovlivňující stabilitu : Piperacillin sodium / tazobactam        

  Mentions Légales