Dernière mise à jour :
18/03/2026
Antibiotique   Piperacillin sodium / tazobactam  
injectable
Stabilité des solutions Stabilité en mélange Facteur influençant la stabilité Compatibilités Voie d’administration Bibliographie pdf
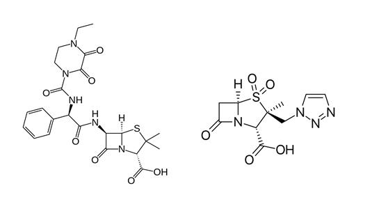
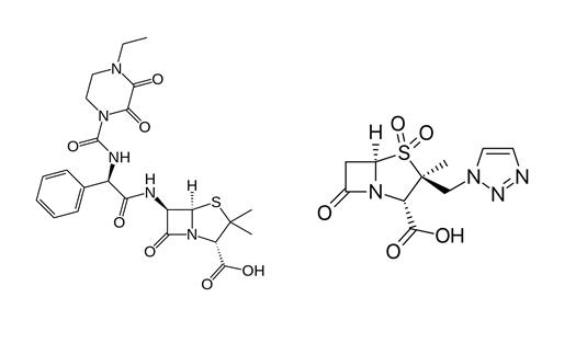
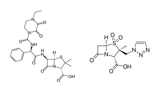
   Structure chimique  

Noms commerciaux   Noms commerciaux     

Les noms commerciaux sont donnés à titre indicatif et la composition en excipients peut être différente selon les pays et selon les laboratoires

Bagotaz Argentine
Betampil Equateur
Bioval Chili
Petezam Argentine
Piperac Allemagne
Piperacillin tazobactam Allemagne, Belgique, Canada
Piperazam Brésil
Pipetazo Chili
Pipitaz Autriche
Pixamol Colombie
Tazobac Equateur, Italie, Portugal, Suisse
Tazocel Espagne
Tazocilline France
Tazocin Afrique du sud, Argentine, Australie, Brésil, Colombie, Croatie, Danemark, Egypte, Emirats Arabes Unis , Finlande, Grande Bretagne, Grèce, Hongrie, Irlande du nord, Italie, Luxembourg, Mexique, Norvège, Nouvelle Zélande, Pays bas, Pérou, Pologne, Suède, Turquie
Tazonam Autriche, Chili
Tazopip Australie
Tazpen Colombie, Mexique
Tazrobida Colombie
Tigux Chili
Tratac Chili
Trital Equateur
Zosyn Etats Unis d’Amérique, Japon

Facteur influençant la stabilité   injectable   Facteur influençant la stabilité : Piperacillin sodium / tazobactam        

  Mentions Légales