Utolsó frissítés :
18/03/2026
Kardiotonikum   Digoxin  
Injekció
Az oldatok stabilitása A keverékek stabilitása Stabilitást befolyásoló tényezők Kompatibilitás Az alkalmazás módja Irodalom pdf
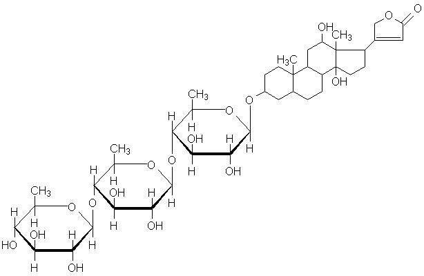
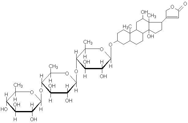
   Kémiai szerkezet   

Kereskedelmi név   Kereskedelmi név     

A kereskedelmi név meghatározó jelentőségű: a készítmények összetétele országonként, előállítóként eltérő lehet

Cardixin Egyiptom
Celoxin India
Digibind Amerikai Egyesült Államok, új-Zéland
Digocard Argentína, Ecuador
Digosin Japán
Digoxin Amerikai Egyesült Államok, Argentína, Dánia, Ecuador, Finnország, Irán, Kanada, Lengyelország, Magyarország, Nagy-Britannia, Svédország
Digoxina Argentína, Ecuador, Mexikó, Spanyolország, Venezuela
Digoxine Franciaország, Görögország, Svájc
Geoxin India
Lanibos Szaúd-Arábiában
Lanicor Németország
Lanoxin Amerikai Egyesült Államok, Belgium, Chile, Egyesült Arab Emírségek, Egyiptom, Hollandia, Irán, Írország, Luxemburg, Malaysia, Nagy-Britannia, Norvégia, Olaszország, Portugália, Szaúd-Arábiában, új-Zéland
Loxinan Mexikó
Az alkalmazás módja   Az alkalmazás módja :Digoxin     
Voie
Intravénás infúzió
Intramuszkuláris

  Mentions Légales