Viimeisin päivitys :
18/03/2026
Sydämen toimintaa tehostava   Digoxin  
Injektioneste
Stabilius liuoksessa Stabilius seoksissa Tekijät, jotka vaikuttavat stabiliuteen Yhteensopivuus Antotapa Viitteet pdf
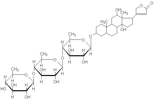
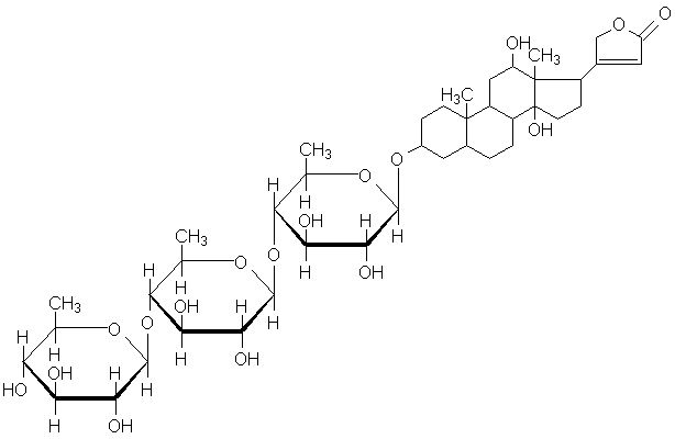
   Kemiallinen rakenne  

Kauppanimi   Kauppanimi     

Trade names are indicative and excipients composition can be different depending on the country and manufacturers

Cardixin Egypti
Celoxin Intia
Digibind New Zealand, Yhdysvallat
Digocard Argentiina, Ecuador
Digosin Japani
Digoxin Argentiina, Ecuador, Iran, Iso-Britannia, Kanada, Puola, Ruotsi, Suomi, Tanska, Unkari, Yhdysvallat
Digoxina Argentiina, Ecuador, Espanja, Meksiko, Venezuela
Digoxine Kreikka, Ranska, Sveitsi
Geoxin Intia
Lanibos Saudi-Arabia
Lanicor Saksa
Lanoxin Belgia, Chile, Egypti, Hollanti, Iran, Irlanti, Iso-Britannia, Italia, Luxemburg, Malesia, New Zealand, Norja, Portugali, Saudi-Arabia, Yhdistyneet arabiemiirikunnat, Yhdysvallat
Loxinan Meksiko
Antotapa   Antotapa :Digoxin     
Voie
Intravenoosi-infuusio
Intramuskulaarinen

  Mentions Légales