Τελευταία ενημέρωση :
18/03/2026
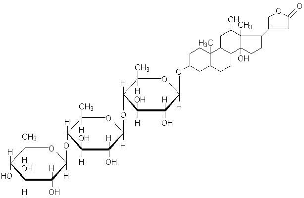
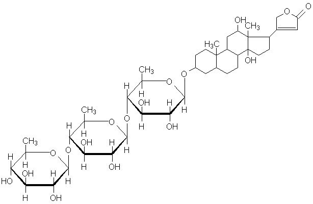
Καρδιοτονωτικό   Digoxin  
Ενέσιμο
Σταθερότητα διαλυμάτων Σταθερότητα σε μίγματα Παράγοντας που επηρεάζει τη σταθερότητα Συμβατότητες Τρόπος χορήγησης Βιβλιογραφία pdf
   χημική δομή  

Εμπορική ονομασία   Εμπορική ονομασία     

Οι εμπορικές ονομασίες είναι ενδεικτικές και η σύνθεση των εκδόχων μπορεί να διαφέρει ανάλογα με τη χώρα και τα εργαστήρια

Cardixin Αίγυπτος
Celoxin Ινδία
Digibind Η.Π.Α., νέα Ζηλανδία
Digocard Αργεντινή, Εκουαδόρ
Digosin Ιαπωνία
Digoxin Αργεντινή, Δανία, Εκουαδόρ, Η.Π.Α., Ιράν, Καναδάς, Μεγάλη Βρετανία, Ουγγαρία, Πολωνία, Σουηδία, Φινλανδία
Digoxina Αργεντινή, Βενεζουέλα, Εκουαδόρ, Ισπανία, Μεξικό
Digoxine Γαλλία, Ελβετία, Ελλάδα
Geoxin Ινδία
Lanibos Σαουδική Αραβία
Lanicor Γερμανία
Lanoxin Yhdistyneet arabiemiirikunnat, Αίγυπτος, Βέλγιο, Η.Π.Α., Ιράν, Ιρλανδία, Ιταλία, Λουξεμβούργο, Μαλαισία, Μεγάλη Βρετανία, νέα Ζηλανδία, Νορβηγία, Ολλανδία, Πορτογαλία, Σαουδική Αραβία, Χιλή
Loxinan Μεξικό
Τρόπος χορήγησης   Τρόπος χορήγησης :Digoxin     
Voie
Ενδοφλέβια έκχυση
Ενδομυϊκή

  Mentions Légales