Последно актуализиране :
18/03/2026
Кардиотонично средство   Digoxin  
Инжекция/Инжекционен
Стабилност на разтвори Стабилност на смеси Фактори, повлияващи стабилността Съвместимост Път на въвеждане Библиография Pdf
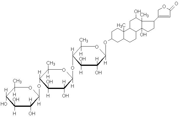
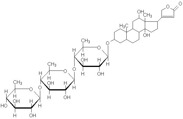
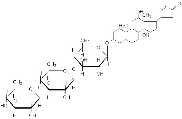
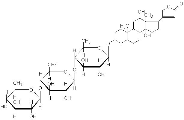
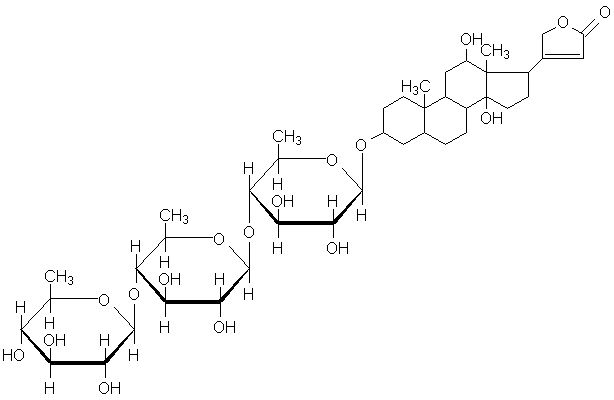
   Химична структура  

Търговско наименование   Търговско наименование     

Търговските имена са примерни и съставът на помощните вещества може да бъде различен в зависимост от държавата и лабораториите

Cardixin Египет
Celoxin Индия
Digibind нова Зеландия, Съединени Американски щати / САЩ
Digocard Аржентина, Еквадор
Digosin Япония
Digoxin Аржентина, Великобритания, Дания, Еквадор, Иран, Канада, Полша, Съединени Американски щати / САЩ, Унгария, Финландия, Швеция
Digoxina Аржентина, Венецуела, Еквадор, Испания, Мексико
Digoxine Гърция, Франция, Швейцария
Geoxin Индия
Lanibos Саудитска Арабия
Lanicor Германия
Lanoxin Белгия, Великобритания, Египет, Иран, Ирландия, Италия, Люксенбург, Малайзия, нова Зеландия, Норвегия, Обединени арабски емирства, Португалия, Саудитска Арабия, Съединени Американски щати / САЩ, Холандия, Чили
Loxinan Мексико
Път на въвеждане   Път на въвеждане :Digoxin     
Voie
Интравенозна инфузия
Интрамускулно

  Mentions Légales