Poslední aktualizace :
18/03/2026
Kardiotonikum   Digoxin  
injekce
Stabilita roztoků Stabilita směsí Faktory ovlivňující stabilitu Kompatibilita Způsoby aplikace Odkazy pdf
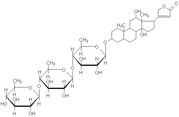
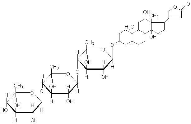
   Chemický vzorec  

Obchodní název   Obchodní název     

Trade names are indicative and excipients composition can be different depending on the country and manufacturers

Cardixin Egypt
Celoxin Indie
Digibind nový Zéland, USA
Digocard Argentina, Ekvádor
Digosin Japonsko
Digoxin Argentina, Dánsko, Ekvádor, Finsko, Írán, Kanada, MaÔarsko, Polsko, Švédsko, USA, Velká Británie
Digoxina äpanÏlsko, Argentina, Ekvádor, Mexiko, Venezuela
Digoxine Francie, Švýcarsko, ÿecko
Geoxin Indie
Lanibos Saúdská Arábie
Lanicor NÏmecko
Lanoxin Belgie, Chile, Egypt, Írán, Irsko, Itálie, Lucembursko, Malajsie, Nizozemsko, Norsko, nový Zéland, Portugalsko, Saúdská Arábie, Spojené arabské emiráty, USA, Velká Británie
Loxinan Mexiko
Způsoby aplikace   Způsoby aplikace :Digoxin     
Voie
Intravenózní infúze
intramuskulárně

  Mentions Légales