Cập nhật lần cuối :
18/03/2026
Thuốc ức chế miễn dịch   Ciclosporin  
Dạng tiêm
Dạng bôi da Dung dịch uống Thuốc nhỏ mắt
Tính ổn định của các dung dịch Độ ổn định khi trộn lẫn Những yếu tố ảnh hưởng đến độ ổn định Khả năng tương thích Đường dùng Tài liệu tham khảo Pdf
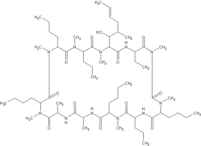
   Cấu trúc hóa học  

Tên thương mại   Tên thương mại     

Các tên thương mại được cung cấp và thành phần tá dược có thể khác nhau giữa các quốc gia và các hãng dược

Cyclosporine Canada, Hoa Kỳ
Graftin Ấn Độ
Sandimmum Ả Rập Saudi, Anh, Áo, Argentina, Ba Lan, Bỉ, Bồ Đào Nha, Chile, Colombia, Hungary, Hy Lạp, Iceland, Iran, Ireland, Luxembourg, Malaysia, Mexico, Morocco, Na Uy, new zealand, Peru, Phần Lan, Tây Ban Nha, Thổ Nhĩ Kỳ, Thụy Sỹ, Thụy Điển, Tunisia, Úc, United Arab Emirates, Ý, Đan Mạch, Đức
Tính ổn định của các dung dịch   Dạng tiêm   Tính ổn định của các dung dịch : Ciclosporin     
Bao bì Dung môi Nồng độ Nhiệt độ Bảo quản Thời gian ổn định Mục lục
Thủy tinh NaCl 0,9% 2 mg/ml 24°C Có hoặc không có tiếp xúc với ánh sáng
12 Giờ
454
Cấp độ bằng chứng D

Thủy tinh Glucose 5% 2 mg/ml 24°C Ánh sáng
48 Giờ
471
Cấp độ bằng chứng D

Thủy tinh Glucose 5% 2 mg/ml 24°C Có hoặc không có tiếp xúc với ánh sáng
24 Giờ
454
Cấp độ bằng chứng D

Thủy tinh Glucose 5% 2 mg/ml 6°C Tránh ánh sáng
48 Giờ
471
Cấp độ bằng chứng D

Nhựa polyolefin NaCl 0,9% 0,2 mg/ml 23-27°C Không rõ
14 Ngày
3229
Cấp độ bằng chứng A+

Nhựa polyolefin NaCl 0,9% 2,5 mg/ml 23-27°C Không rõ
14 Ngày
3229
Cấp độ bằng chứng A+

Nhựa polyolefin Glucose 5% 0,2 mg/ml 23-27°C Không rõ
14 Ngày
3229
Cấp độ bằng chứng A+

Nhựa polyolefin Glucose 5% 2,5 mg/ml 23-27°C Không rõ
14 Ngày
3229
Cấp độ bằng chứng A+

Nhựa ethylene vinyl acetat NaCl 0,9% 0,2 mg/ml 25°C Không rõ
7 Ngày
3476
Cấp độ bằng chứng B+

Nhựa ethylene vinyl acetat NaCl 0,9% 2,5 mg/ml 25°C Không rõ
14 Ngày
3476
Cấp độ bằng chứng B+

Nhựa ethylene vinyl acetat Glucose 5% 0,2 mg/ml 25°C Không rõ
7 Ngày
3476
Cấp độ bằng chứng B+

Nhựa ethylene vinyl acetat Glucose 5% 2,5 mg/ml 25°C Không rõ
14 Ngày
3476
Cấp độ bằng chứng B+


  Mentions Légales