Viimeisin päivitys :
18/03/2026
Immunosupressiiviset lääkkeet   Ciclosporin  
Injektioneste
Oraaliliuos Salvat Silmätipat
Stabilius liuoksessa Stabilius seoksissa Tekijät, jotka vaikuttavat stabiliuteen Yhteensopivuus Antotapa Viitteet pdf
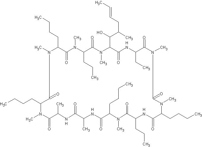
   Kemiallinen rakenne  

Kauppanimi   Kauppanimi     

Trade names are indicative and excipients composition can be different depending on the country and manufacturers

Cyclosporine Kanada, Yhdysvallat
Graftin Intia
Sandimmum Argentiina, Australia, Belgia, Chile, Espanja, Iran, Irlanti, Islanti, Iso-Britannia, Italia, Itävalta, Kolumbia, Kreikka, Luxemburg, Malesia, Marokko, Marokko, Meksiko, New Zealand, Norja, Portugali, Puola, Ruotsi, Saksa, Saudi-Arabia, Suomi, Sveitsi, Tanska, Tunisia, Turkki, Unkari, Yhdistyneet arabiemiirikunnat
Stabilius liuoksessa   Injektioneste   Stabilius liuoksessa : Ciclosporin     
Astia Liuotin Konsentraatio Lämpötila Säilytys Vakauden kesto Viitteet
Lasi Natriumkloridi 0,9% 2 mg/ml 24°C Valossa tai suojassa valolta
12 tunti
454
Näytön laajuus D

Lasi Glukoosi 5% 2 mg/ml 24°C Valo
48 tunti
471
Näytön laajuus D

Lasi Glukoosi 5% 2 mg/ml 24°C Valossa tai suojassa valolta
24 tunti
454
Näytön laajuus D

Lasi Glukoosi 5% 2 mg/ml 6°C Suojattava valolta
48 tunti
471
Näytön laajuus D

Polyolefiini Natriumkloridi 0,9% 0,2 mg/ml 23-27°C Ei määritetty
14 Päivä
3229
Näytön laajuus A+

Polyolefiini Natriumkloridi 0,9% 2,5 mg/ml 23-27°C Ei määritetty
14 Päivä
3229
Näytön laajuus A+

Polyolefiini Glukoosi 5% 0,2 mg/ml 23-27°C Ei määritetty
14 Päivä
3229
Näytön laajuus A+

Polyolefiini Glukoosi 5% 2,5 mg/ml 23-27°C Ei määritetty
14 Päivä
3229
Näytön laajuus A+

Etyleenivinyyliasetaatti Natriumkloridi 0,9% 0,2 mg/ml 25°C Ei määritetty
7 Päivä
3476
Näytön laajuus B+

Etyleenivinyyliasetaatti Natriumkloridi 0,9% 2,5 mg/ml 25°C Ei määritetty
14 Päivä
3476
Näytön laajuus B+

Etyleenivinyyliasetaatti Glukoosi 5% 0,2 mg/ml 25°C Ei määritetty
7 Päivä
3476
Näytön laajuus B+

Etyleenivinyyliasetaatti Glukoosi 5% 2,5 mg/ml 25°C Ei määritetty
14 Päivä
3476
Näytön laajuus B+


  Mentions Légales