zadnja posodobitev :
18/03/2026
Zdravilo za zaviranje imunske odzivnosti   Ciclosporin  
Brizgalka
Kapljice za oči Mazila Peroralna raztopina
Stabilnost raztopine Stabilnost mešanice Faktorji, ki vplivajo na stabilnost Kompatibilnost način aplikacije Viri pdf
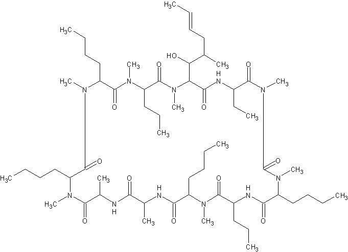
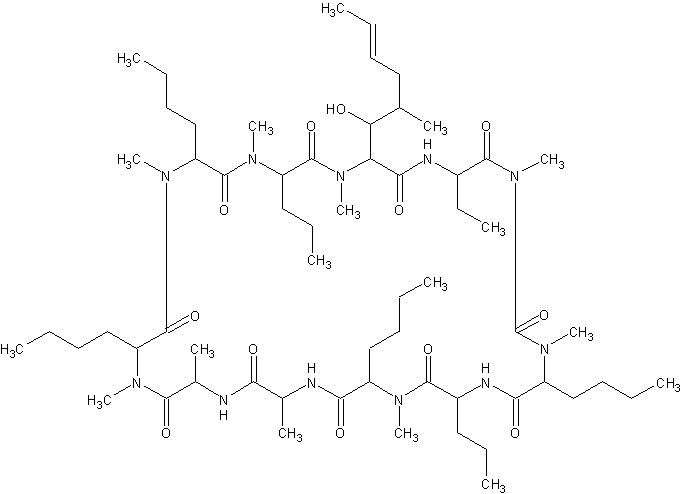
   Kemična formula  

Lastniško ime   Lastniško ime     

Sestava pomožnih snovi je med paralelami lahko različna

Cyclosporine Kanada, Združene države Amerike
Graftin Indija
Sandimmum Argentina, Avstralija, Avstrija, Belgija, Čile, Danska, Finska, Grčija, Iran, Irska, Islandija, Italija, Kolumbija, Luksemburg, Madžarska, Malezija, Maroko, Mehika, Nemčija, Norveška, nova Zelandija, Peru, Poljska, Portugalska, Savdska Arabija, Španija, Švedska, Švica, Tunizija, Turčija, Velika Britanija, Združeni arabski emirati
Stabilnost raztopine   Brizgalka   Stabilnost raztopine : Ciclosporin     
Vsebnik Topilo Koncentracija Temperatura Shranjevanje Trajanje stabilnosti Viri
Steklo Natrijev klorid 0,9% 2 mg/ml 24°C Z ali brez svetlobe
12 čas
454
 Stopnja dokaza D

Steklo Glukoza 5% 2 mg/ml 24°C Svetloba
48 čas
471
 Stopnja dokaza D

Steklo Glukoza 5% 2 mg/ml 24°C Z ali brez svetlobe
24 čas
454
 Stopnja dokaza D

Steklo Glukoza 5% 2 mg/ml 6°C Zaščiteno pred svetlobo
48 čas
471
 Stopnja dokaza D

Poliolefin Natrijev klorid 0,9% 0,2 mg/ml 23-27°C Nedoločeno
14 Dan
3229
 Stopnja dokaza A+

Poliolefin Natrijev klorid 0,9% 2,5 mg/ml 23-27°C Nedoločeno
14 Dan
3229
 Stopnja dokaza A+

Poliolefin Glukoza 5% 0,2 mg/ml 23-27°C Nedoločeno
14 Dan
3229
 Stopnja dokaza A+

Poliolefin Glukoza 5% 2,5 mg/ml 23-27°C Nedoločeno
14 Dan
3229
 Stopnja dokaza A+

Etilenvinilacetat Natrijev klorid 0,9% 0,2 mg/ml 25°C Nedoločeno
7 Dan
3476
 Stopnja dokaza B+

Etilenvinilacetat Natrijev klorid 0,9% 2,5 mg/ml 25°C Nedoločeno
14 Dan
3476
 Stopnja dokaza B+

Etilenvinilacetat Glukoza 5% 0,2 mg/ml 25°C Nedoločeno
7 Dan
3476
 Stopnja dokaza B+

Etilenvinilacetat Glukoza 5% 2,5 mg/ml 25°C Nedoločeno
14 Dan
3476
 Stopnja dokaza B+


  Mentions Légales