Utolsó frissítés :
18/03/2026
Immunszuppresszív szer   Ciclosporin  
Injekció
belsőleges oldat kenőcs Szemcsepp
Az oldatok stabilitása A keverékek stabilitása Stabilitást befolyásoló tényezők Kompatibilitás Az alkalmazás módja Irodalom pdf
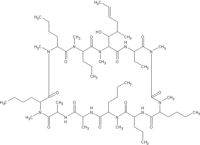
   Kémiai szerkezet   

Kereskedelmi név   Kereskedelmi név     

A kereskedelmi név meghatározó jelentőségű: a készítmények összetétele országonként, előállítóként eltérő lehet

Cyclosporine Amerikai Egyesült Államok, Kanada
Graftin India
Sandimmum Argentína, Ausztrália, Ausztria, Belgium, Chile, Colombia, Dánia, Egyesült Arab Emírségek, Finnország, Görögország, Irán, Írország, Izland, Lengyelország, Luxemburg, Magyarország, Malaysia, Marokkó, Mexikó, Nagy-Britannia, Németország, Norvégia, Olaszország, Peru, Portugália, Spanyolország, Svájc, Svédország, Szaúd-Arábiában, Törökország, Tunézia, új-Zéland
Az oldatok stabilitása   Injekció   Az oldatok stabilitása : Ciclosporin     
Csomagolás Oldószer Koncentráció Hőmérséklet Tárolás A stabilitás időtartama Irodalom
Üveg 0,9% nátrium-klorid 2 mg/ml 24°C Fénnyel vagy anélkül
12 Óra
454
Szintű bizonyítékot D

Üveg 5% glükóz 2 mg/ml 24°C Fény
48 Óra
471
Szintű bizonyítékot D

Üveg 5% glükóz 2 mg/ml 24°C Fénnyel vagy anélkül
24 Óra
454
Szintű bizonyítékot D

Üveg 5% glükóz 2 mg/ml 6°C Fénytől védve tartandó
48 Óra
471
Szintű bizonyítékot D

Poliolefin 0,9% nátrium-klorid 0,2 mg/ml 23-27°C Nincs meghatározva
14 Nap
3229
Szintű bizonyítékot A+

Poliolefin 0,9% nátrium-klorid 2,5 mg/ml 23-27°C Nincs meghatározva
14 Nap
3229
Szintű bizonyítékot A+

Poliolefin 5% glükóz 0,2 mg/ml 23-27°C Nincs meghatározva
14 Nap
3229
Szintű bizonyítékot A+

Poliolefin 5% glükóz 2,5 mg/ml 23-27°C Nincs meghatározva
14 Nap
3229
Szintű bizonyítékot A+

Etilén-vinilacetát 0,9% nátrium-klorid 0,2 mg/ml 25°C Nincs meghatározva
7 Nap
3476
Szintű bizonyítékot B+

Etilén-vinilacetát 0,9% nátrium-klorid 2,5 mg/ml 25°C Nincs meghatározva
14 Nap
3476
Szintű bizonyítékot B+

Etilén-vinilacetát 5% glükóz 0,2 mg/ml 25°C Nincs meghatározva
7 Nap
3476
Szintű bizonyítékot B+

Etilén-vinilacetát 5% glükóz 2,5 mg/ml 25°C Nincs meghatározva
14 Nap
3476
Szintű bizonyítékot B+


  Mentions Légales