Laatste update :
18/03/2026
Immunosuppressivum   Ciclosporin  
injecteerbaar geneesmiddel
Oogwater Orale Oplossing zalf
Stabiliteit in oplossing Stabiliteit in mengsels Factoren die de stabiliteit beïnvloeden Verenigbaarheden Toedieningswijze Literatuur pdf
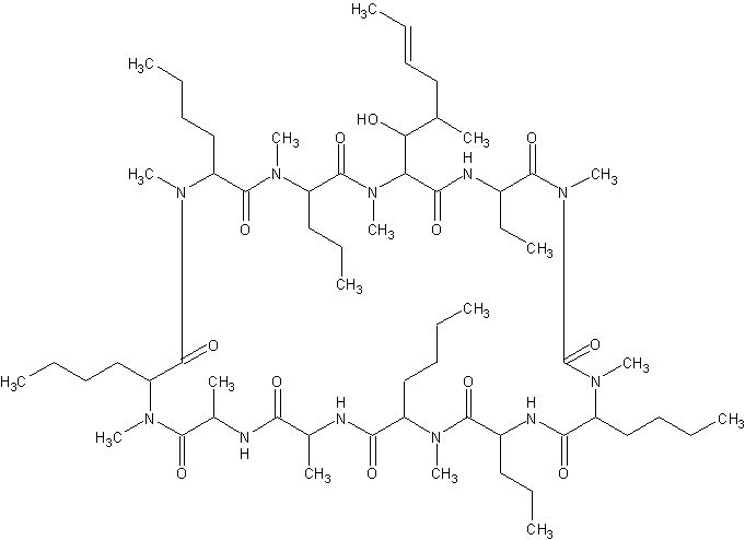
   Molecuulstructuur  

Merknamen in verschillende landen   Merknamen in verschillende landen     

Handelsnamen zijn slechts een indicatie; de samenstelling van hulpstoffen kan per land variëren afhankelijk van de fabrikant

Cyclosporine Canada, USA
Graftin Indië
Sandimmum Argentinië, Australië, België, Chili, Colombia, Denemarken, Duitsland, Finland, Griekenland, Groot Britannië, Hongarije, Ierland, IJsland, Iran, Italië, Luxemburg, Maleisië, Marokko, Mexico, nieuw Zeeland, Noorwegen, Oostenrijk, Peru, Polen, Portugal, Saudi-Arabië, Spanje, Tunisie, Turkije, Verenigde Arabische Emiraten, Zweden, Zwitserland
Stabiliteit in oplossing   injecteerbaar geneesmiddel   Stabiliteit in oplossing : Ciclosporin     
Verpakking Oplosmiddel Concentratie Temperatuur Bewaring Duur van de stabiliteit Literatuur
Glas Natriumchloride 0,9% 2 mg/ml 24°C Met of zonder licht
12 Uur
454
Bewijsniveau D

Glas Glucose 5% 2 mg/ml 24°C Licht
48 Uur
471
Bewijsniveau D

Glas Glucose 5% 2 mg/ml 24°C Met of zonder licht
24 Uur
454
Bewijsniveau D

Glas Glucose 5% 2 mg/ml 6°C Buiten invloed van licht
48 Uur
471
Bewijsniveau D

Polyolefine Natriumchloride 0,9% 0,2 mg/ml 23-27°C Niet gespecificeerd
14 Dag
3229
Bewijsniveau A+

Polyolefine Natriumchloride 0,9% 2,5 mg/ml 23-27°C Niet gespecificeerd
14 Dag
3229
Bewijsniveau A+

Polyolefine Glucose 5% 0,2 mg/ml 23-27°C Niet gespecificeerd
14 Dag
3229
Bewijsniveau A+

Polyolefine Glucose 5% 2,5 mg/ml 23-27°C Niet gespecificeerd
14 Dag
3229
Bewijsniveau A+

Ethyleenvinylacetaat (EVA) Natriumchloride 0,9% 0,2 mg/ml 25°C Niet gespecificeerd
7 Dag
3476
Niveau van bewijs B+

Ethyleenvinylacetaat (EVA) Natriumchloride 0,9% 2,5 mg/ml 25°C Niet gespecificeerd
14 Dag
3476
Niveau van bewijs B+

Ethyleenvinylacetaat (EVA) Glucose 5% 0,2 mg/ml 25°C Niet gespecificeerd
7 Dag
3476
Niveau van bewijs B+

Ethyleenvinylacetaat (EVA) Glucose 5% 2,5 mg/ml 25°C Niet gespecificeerd
14 Dag
3476
Niveau van bewijs B+


  Mentions Légales