Letztes “update” :
03/02/2026
Immunsuppressivum   Ciclosporin  
Injektion
Augentropfen Lösung zum Einnehmen Salben
Stabilität der Lösung Gemengestabilität Stabilitätbeeinflussende Faktoren Kompatibilitäten Applikationsart Literaturverzeichnis pdf
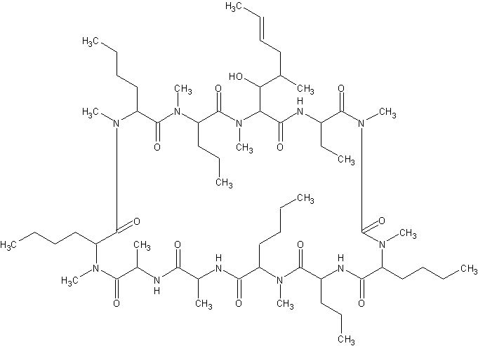
   Chemische Struktur  

Handelsmarke   Handelsmarke     

Handelsnamen sind als beispielhaft anzusehen. Sonstige Bestandteile können je nach Hersteller oder Land verschieden sein

Cyclosporine Kanada, Vereinigte Staaten von Amerika
Graftin Indien
Sandimmum Argentinien, Australien, Belgien, Chile, Dänemark, Deutschland, Finnland, Griechenland, Großbritannien, Iran, Irland, Island, Italien, Kolumbien, Luxemburg, Malaysia, Marokko, Mexiko, Neuseeland, Norwegen, Österreich, Peru, Polen, Portugal, Saudi-Arabien, Schweden, Schweiz, Spanien, Tunesien, Türkei, Ungarn, Vereinigte Arabische Emirate
Stabilität der Lösung   Injektion   Stabilität der Lösung : Ciclosporin     
Behälter Lösungsmittel Konzentration Temperatur Konservierung Dauer der Stabilität Literaturverzeichnis
Glas 0,9% Natriumchlorid 2 mg/ml 24°C Mit oder ohne Licht
12 Stunde
454
Evidenzgrad D

Glas 5% Glucose 2 mg/ml 24°C Licht
48 Stunde
471
Evidenzgrad D

Glas 5% Glucose 2 mg/ml 24°C Mit oder ohne Licht
24 Stunde
454
Evidenzgrad D

Glas 5% Glucose 2 mg/ml 6°C Ohne Licht
48 Stunde
471
Evidenzgrad D

Polyolefin 0,9% Natriumchlorid 0,2 mg/ml 23-27°C Nicht genau angegeben
14 Tag
3229
Evidenzgrad A+

Polyolefin 0,9% Natriumchlorid 2,5 mg/ml 23-27°C Nicht genau angegeben
14 Tag
3229
Evidenzgrad A+

Polyolefin 5% Glucose 0,2 mg/ml 23-27°C Nicht genau angegeben
14 Tag
3229
Evidenzgrad A+

Polyolefin 5% Glucose 2,5 mg/ml 23-27°C Nicht genau angegeben
14 Tag
3229
Evidenzgrad A+

Äthylenvinylacetat 0,9% Natriumchlorid 0,2 mg/ml 25°C Nicht genau angegeben
7 Tag
3476
Evidenzgrad B+

Äthylenvinylacetat 0,9% Natriumchlorid 2,5 mg/ml 25°C Nicht genau angegeben
14 Tag
3476
Evidenzgrad B+

Äthylenvinylacetat 5% Glucose 0,2 mg/ml 25°C Nicht genau angegeben
7 Tag
3476
Evidenzgrad B+

Äthylenvinylacetat 5% Glucose 2,5 mg/ml 25°C Nicht genau angegeben
14 Tag
3476
Evidenzgrad B+


  Mentions Légales