Última actualización :
18/03/2026
Antibiótico   Minocycline hydrochloride  
Inyectables
Solución Oral
Estabilidad en solucion Estabilidad en mezcla Factores que influyen sobre la estabilidad Compatibilidades método de inyección Bibliografía pdf
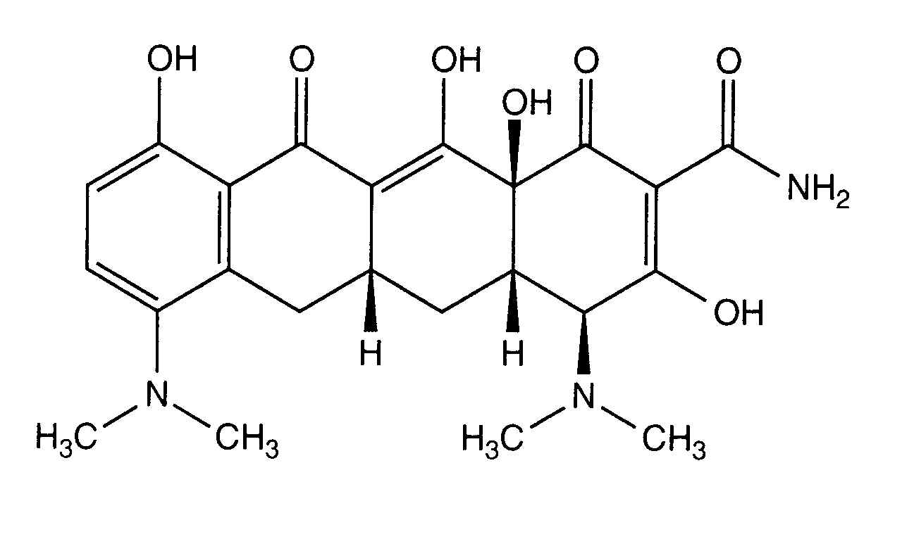
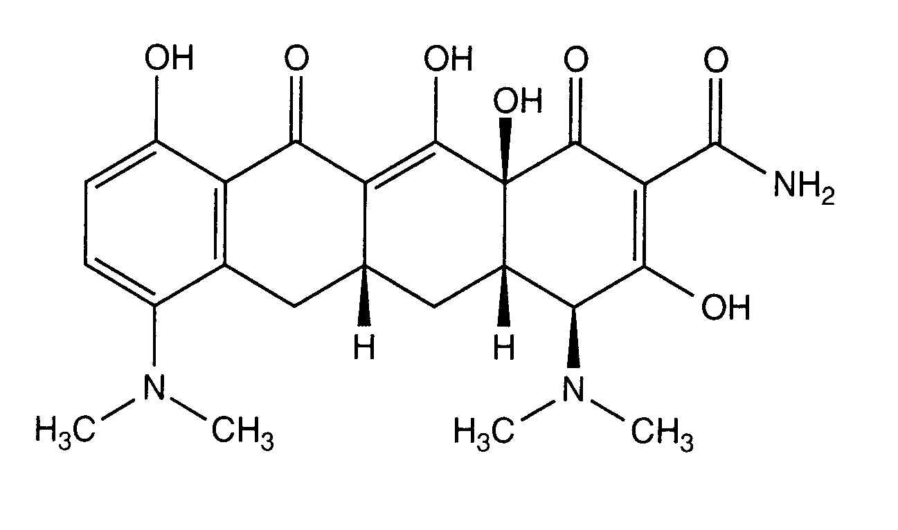
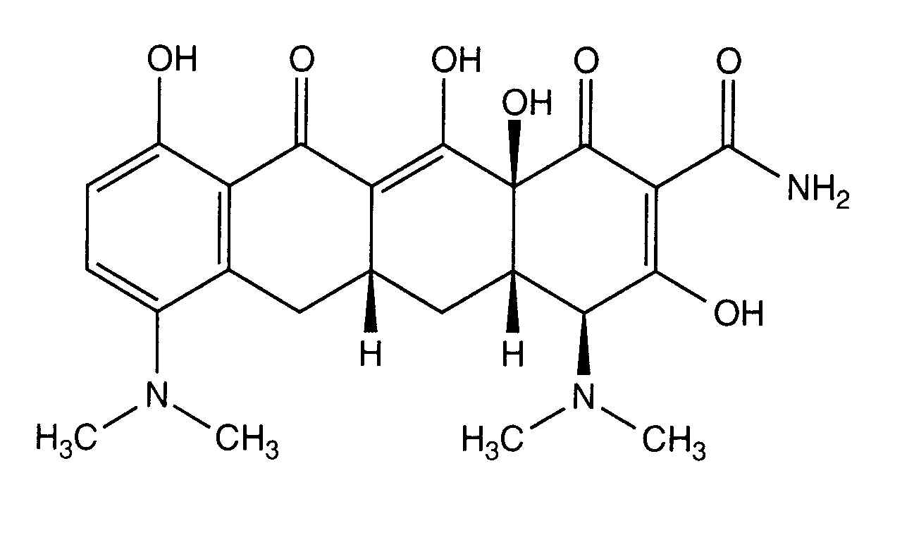
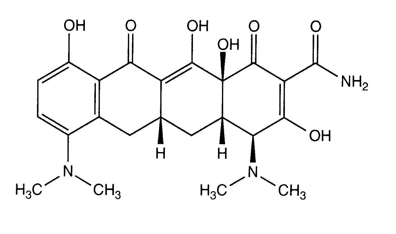
   Estructura química  

Nombre comercial   Nombre comercial     

Los nombres comerciales son orientativos y los excipientes de la formulación pueden ser distintos dependiendo del país y del laboratorio fabricante.

Minocin Estados Unidos de América

Factores que influyen sobre la estabilidad   Inyectables   Factores que influyen sobre la estabilidad : Minocycline hydrochloride        

  Mentions Légales