Siste oppdatering :
18/03/2026
Antibiotika   Minocycline hydrochloride  
Injeksjon
Mikstur
Oppløsningsstabilitet Stabilitet i blandinger Faktorer som påvirker stabiliteten Kompatibilitet Administrasjonsmåte Referanser pdf
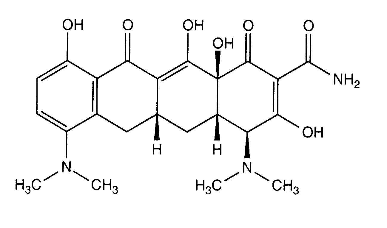
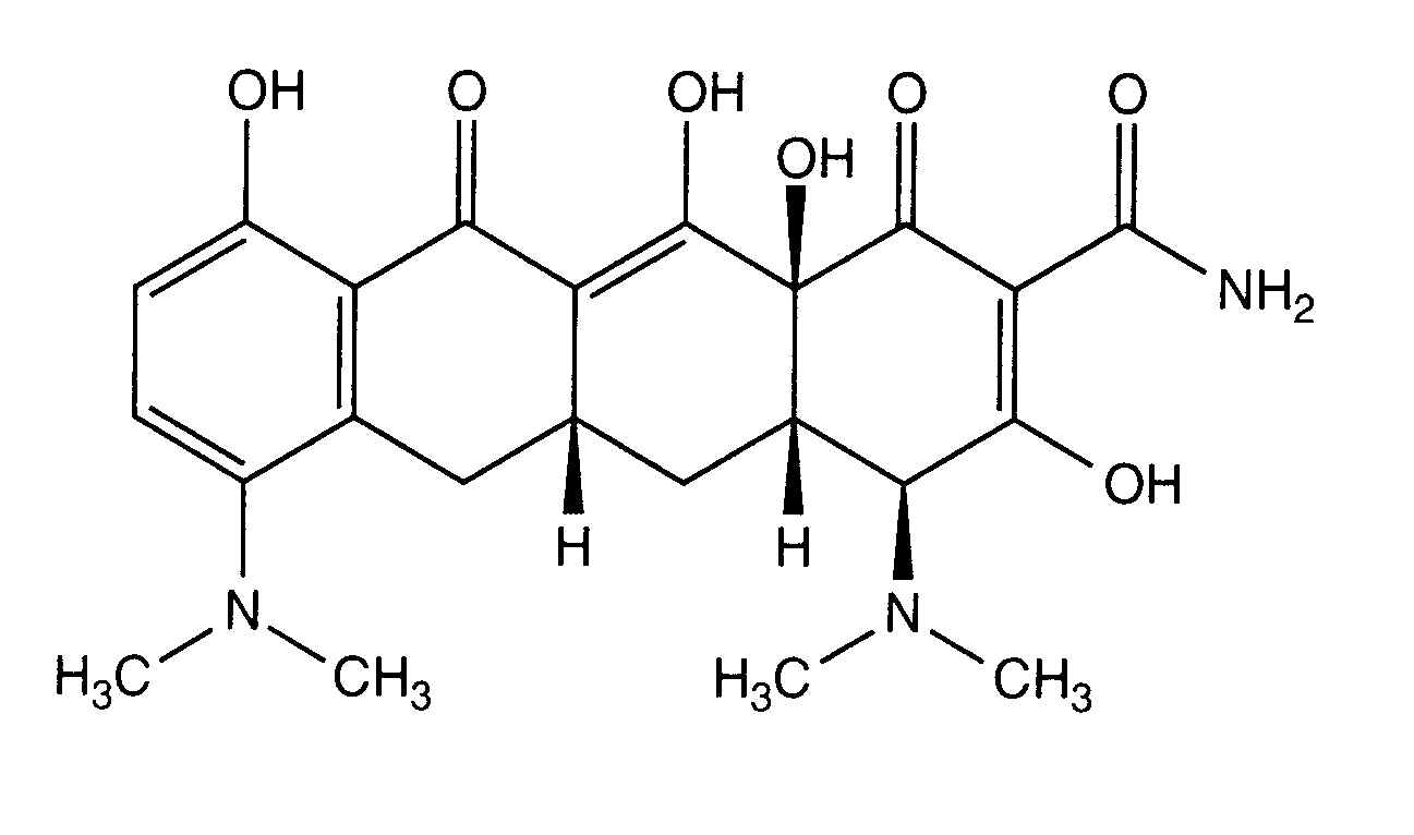
   Kjemisk struktur  

Handelsnavn   Handelsnavn     

Handelsnavn er veiledende og sammensetning av hjelpestoffer kan være forskjellig avhengig av land og produsent

Minocin USA

Faktorer som påvirker stabiliteten   Injeksjon   Faktorer som påvirker stabiliteten : Minocycline hydrochloride        

  Mentions Légales