Poslední aktualizace :
18/03/2026
Antibiotikum   Minocycline hydrochloride  
injekce
Perorální roztok
Stabilita roztoků Stabilita směsí Faktory ovlivňující stabilitu Kompatibilita Způsoby aplikace Odkazy pdf
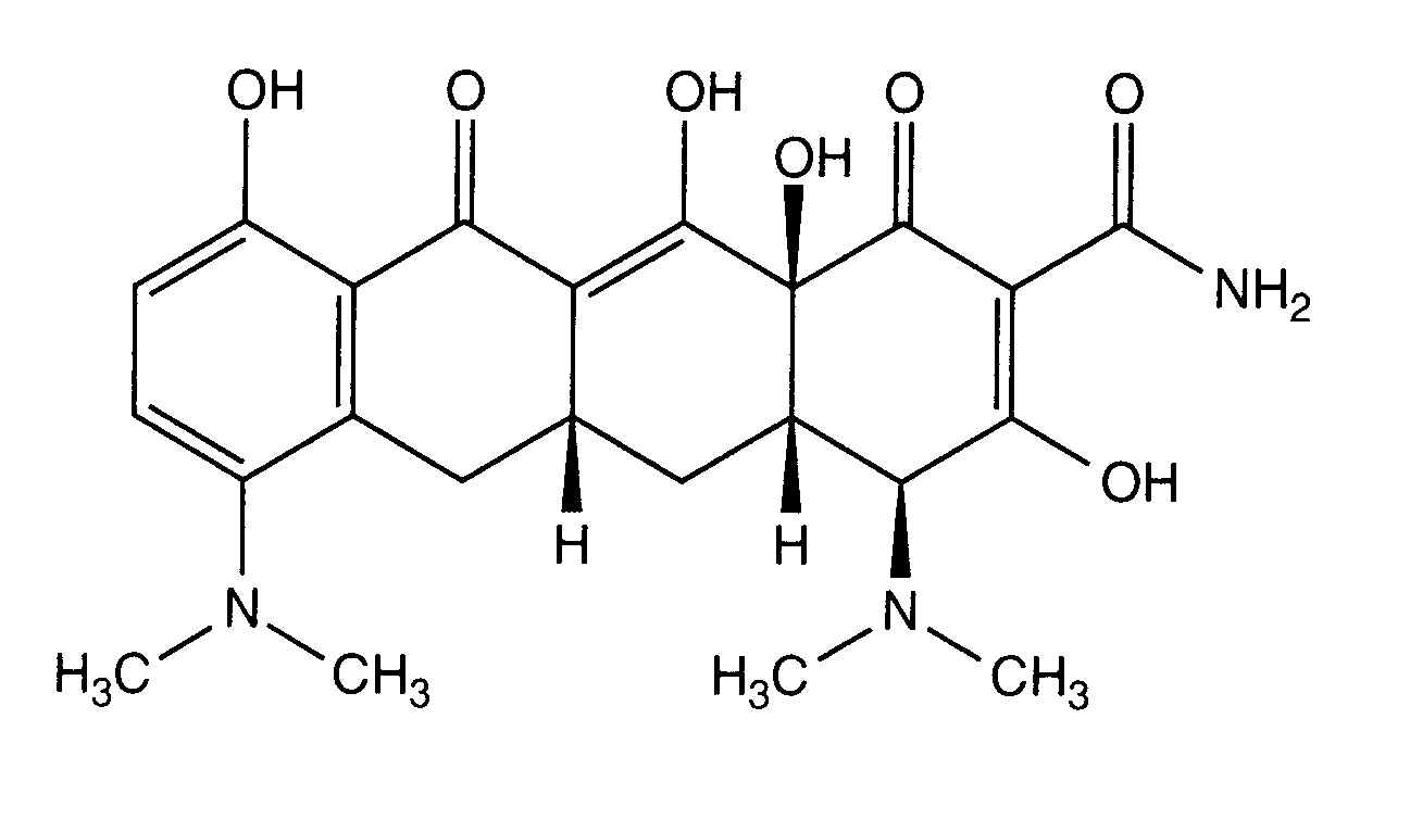
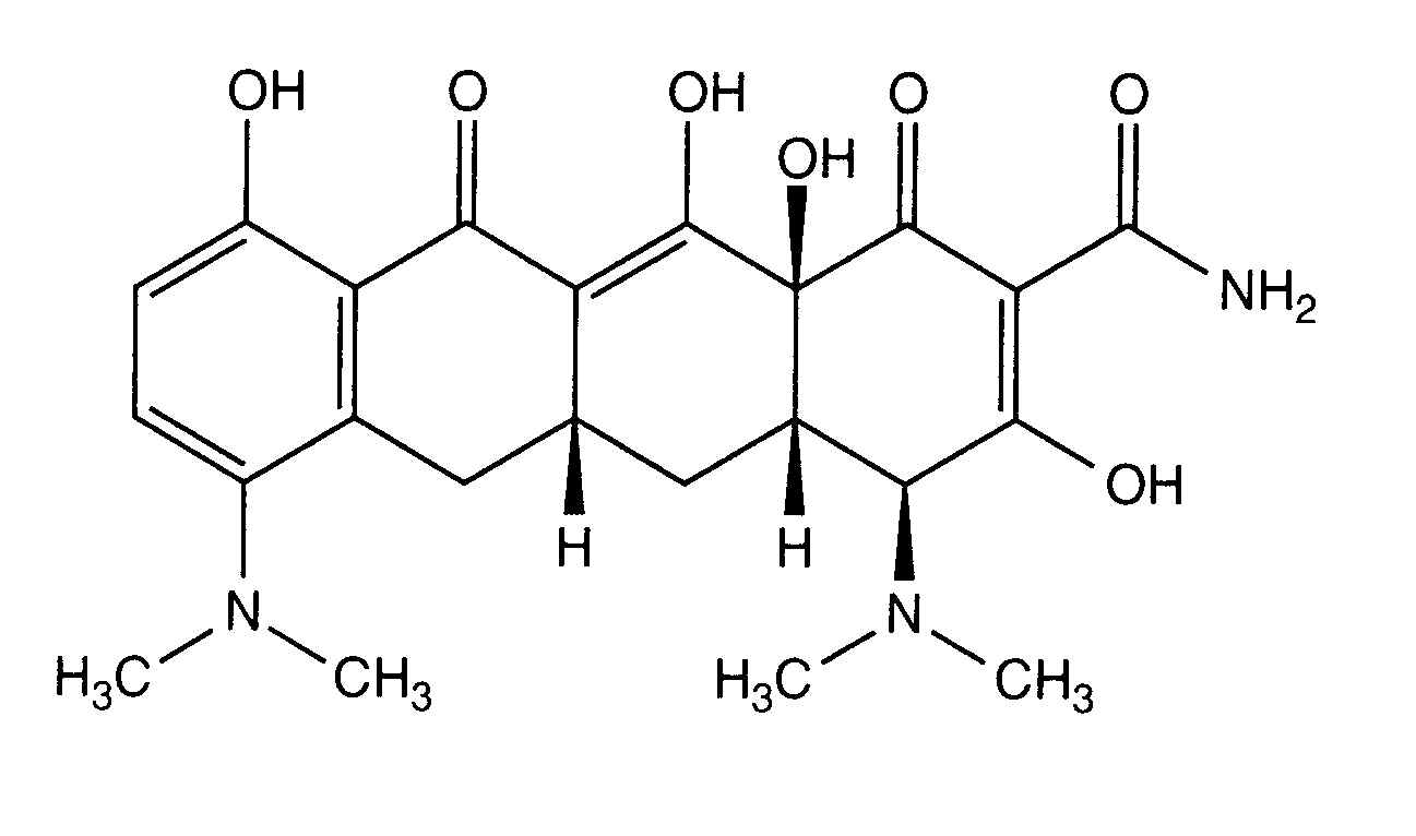
   Chemický vzorec  

Obchodní název   Obchodní název     

Trade names are indicative and excipients composition can be different depending on the country and manufacturers

Minocin USA

Faktory ovlivňující stabilitu   injekce   Faktory ovlivňující stabilitu : Minocycline hydrochloride        

  Mentions Légales