Poslední aktualizace :
18/03/2026
Antibiotikas   Minocycline hydrochloride  
Įpurškimas
Geriamas tirpalas
Tirpalų stabilumas Mišinių stabilumas Stabilumą lemiantys veiksniai Suderinamumas Leidimo būdai Bibliografija pdf
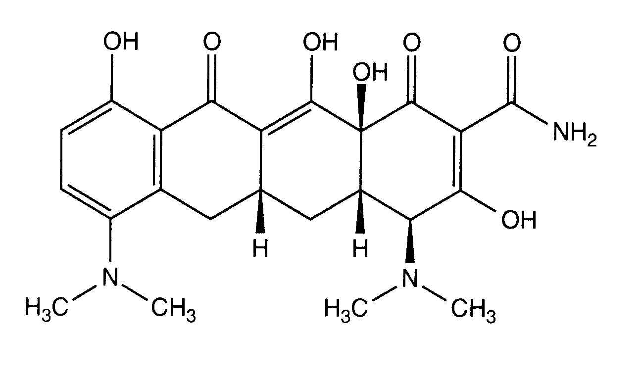
   Cheminė sandara  

Prekinis pavadinimas   Prekinis pavadinimas     

Trade names are indicative and excipients composition can be different depending on the country and manufacturers

Minocin Jungtinės Amerikos Valstijos

Stabilumą lemiantys veiksniai   Įpurškimas   Stabilumą lemiantys veiksniai : Minocycline hydrochloride        

  Mentions Légales