Laatste update :
18/03/2026
Antibioticum   Minocycline hydrochloride  
injecteerbaar geneesmiddel
Orale Oplossing
Stabiliteit in oplossing Stabiliteit in mengsels Factoren die de stabiliteit beïnvloeden Verenigbaarheden Toedieningswijze Literatuur pdf
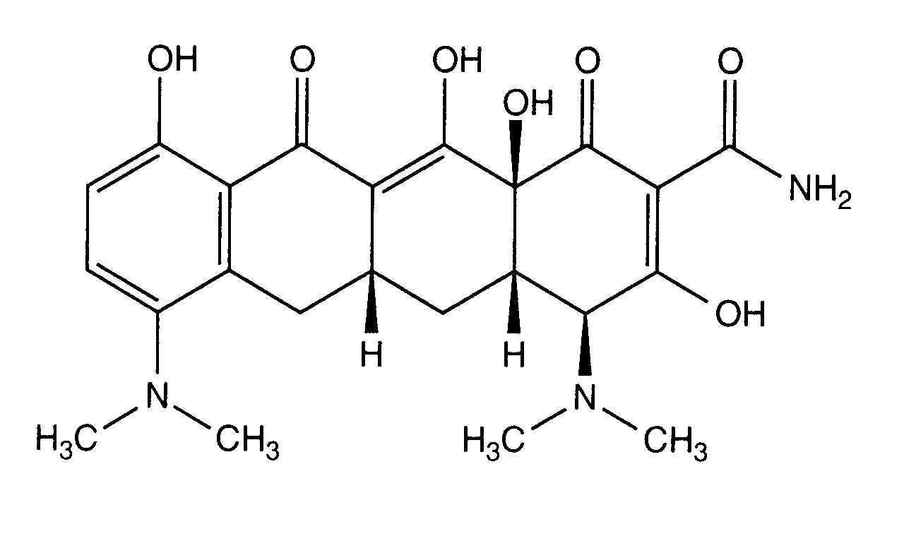
   Molecuulstructuur  

Merknamen in verschillende landen   Merknamen in verschillende landen     

Handelsnamen zijn slechts een indicatie; de samenstelling van hulpstoffen kan per land variëren afhankelijk van de fabrikant

Minocin USA

Factoren die de stabiliteit beïnvloeden   injecteerbaar geneesmiddel   Factoren die de stabiliteit beïnvloeden : Minocycline hydrochloride        

  Mentions Légales