Ostatnia aktualizacja :
18/03/2026
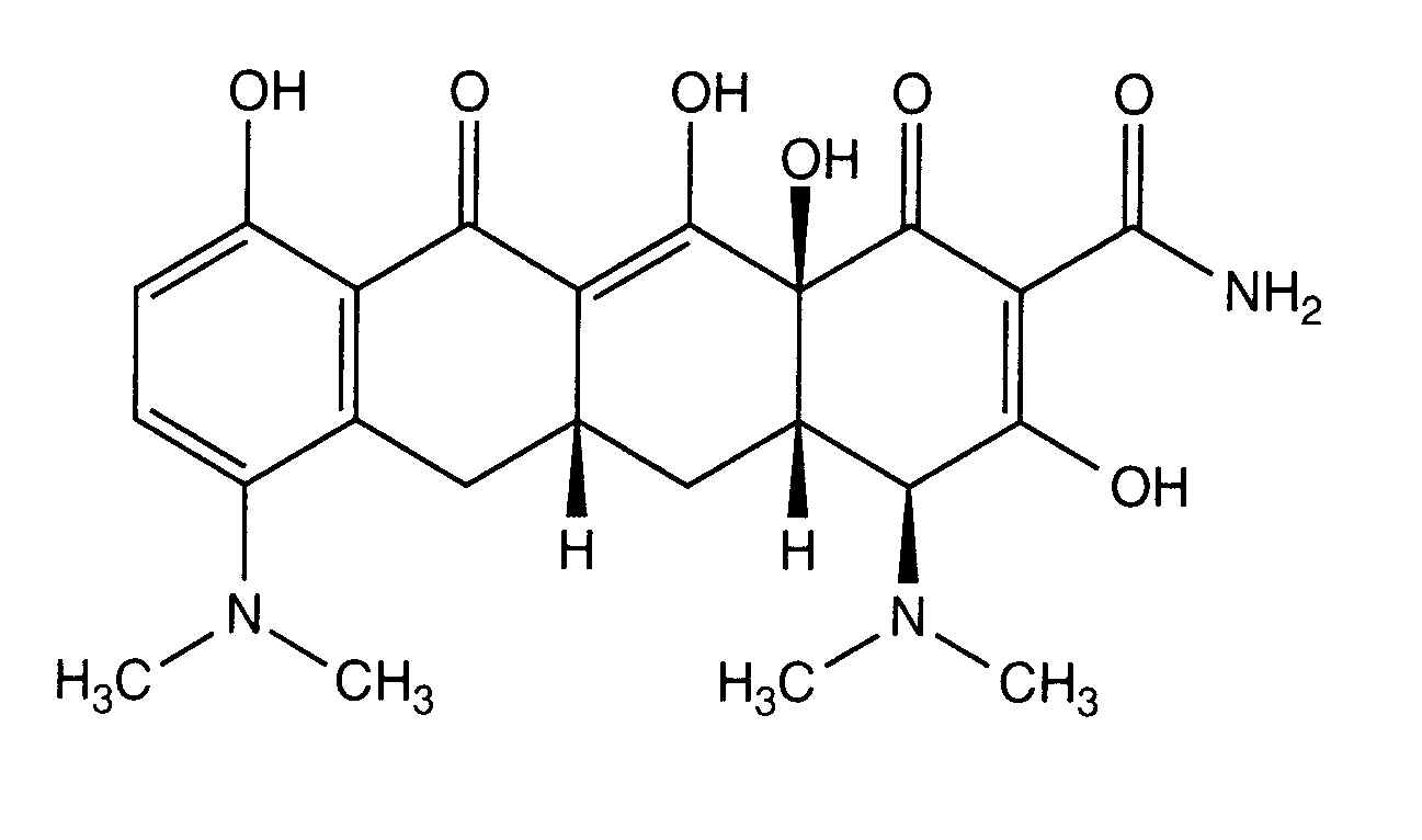
Antybiotyk   Minocycline hydrochloride  
Injekcje
Roztwór doustny
Trwałość roztworów Trwałość w mieszaninie Czynnik wpływający na trwałość Zgodność Sposób podania Bibliografia pdf
   Struktura chemiczna  

Nazwa handlowa   Nazwa handlowa     

Trade names are indicative and excipients composition can be different depending on the country and manufacturers

Minocin Stany Zjednoczone Ameryki

Czynnik wpływający na trwałość   Injekcje   Czynnik wpływający na trwałość : Minocycline hydrochloride        

  Mentions Légales