Ultimo aggiornamento :
18/03/2026
Antivirale   Ganciclovir  
Collirio
Stabilità dei preparati farmaceutici Stabilità in miscela Fattori che influenzano la stabilità Compatibilità Bibliografia pdf
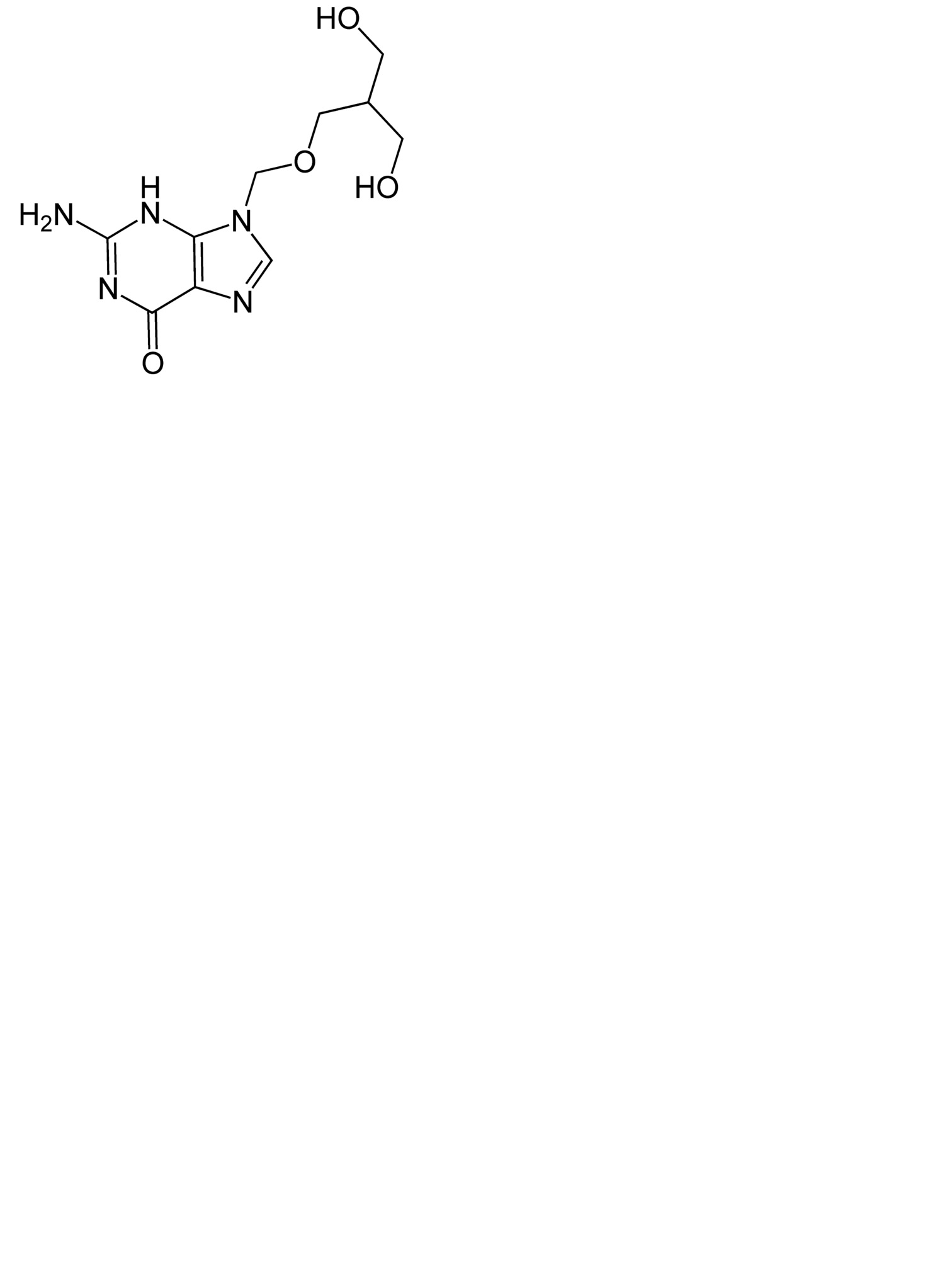
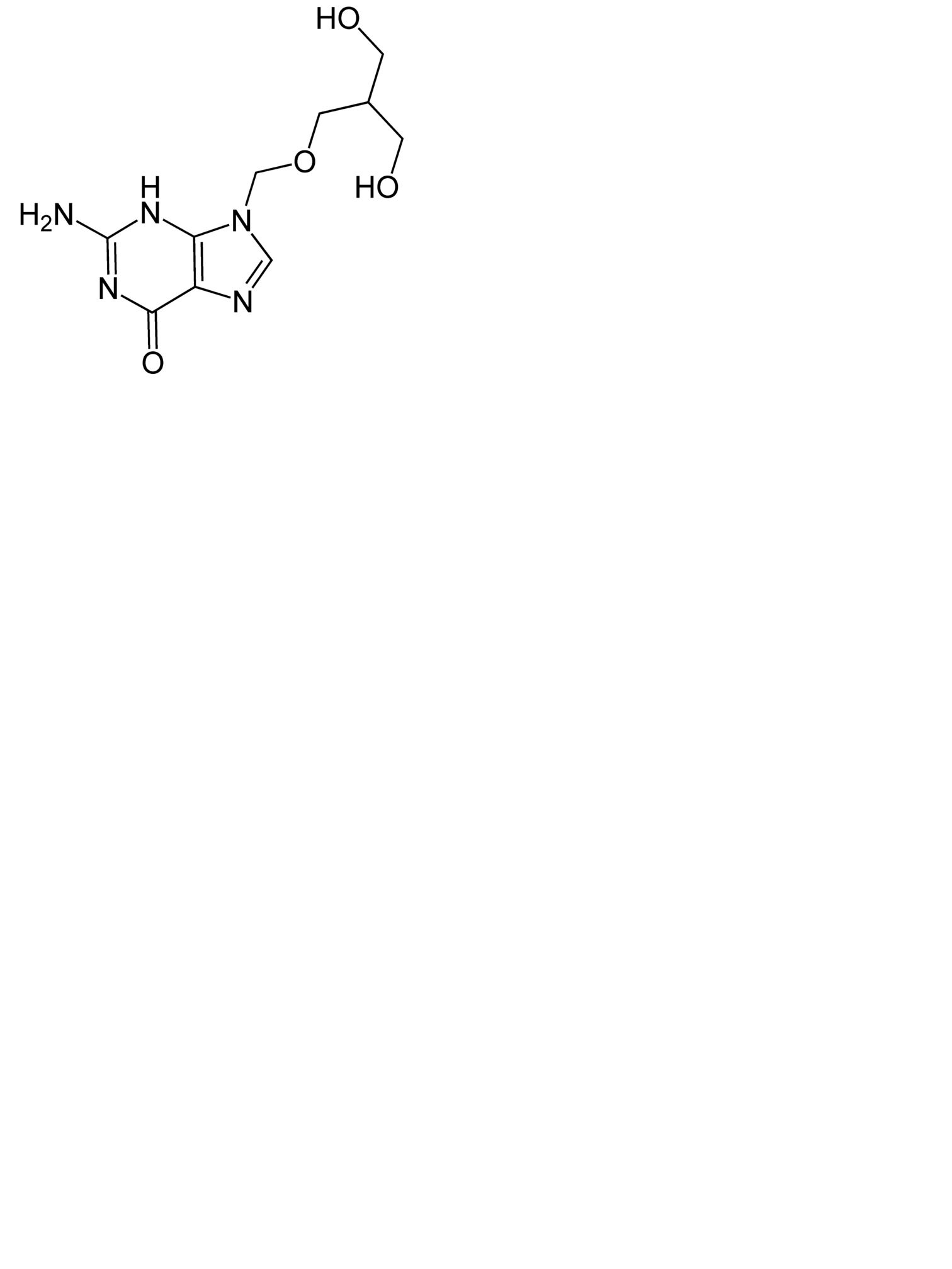
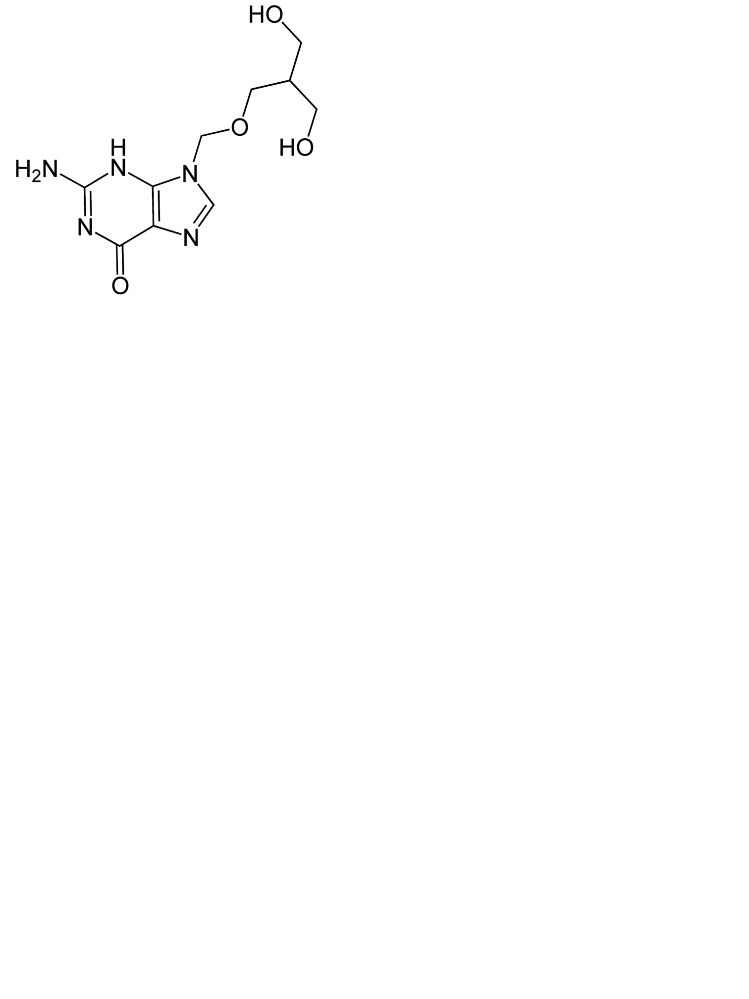
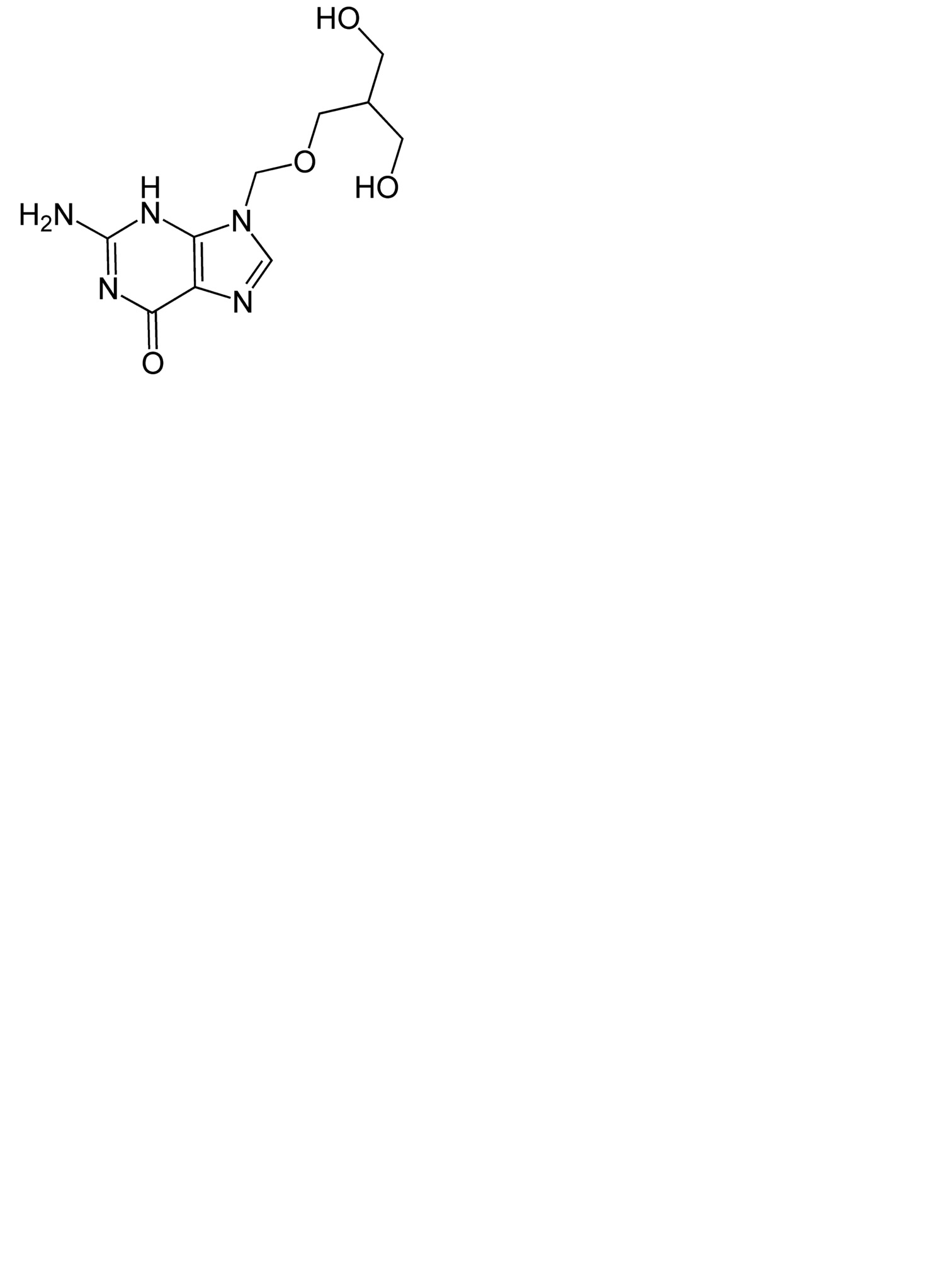
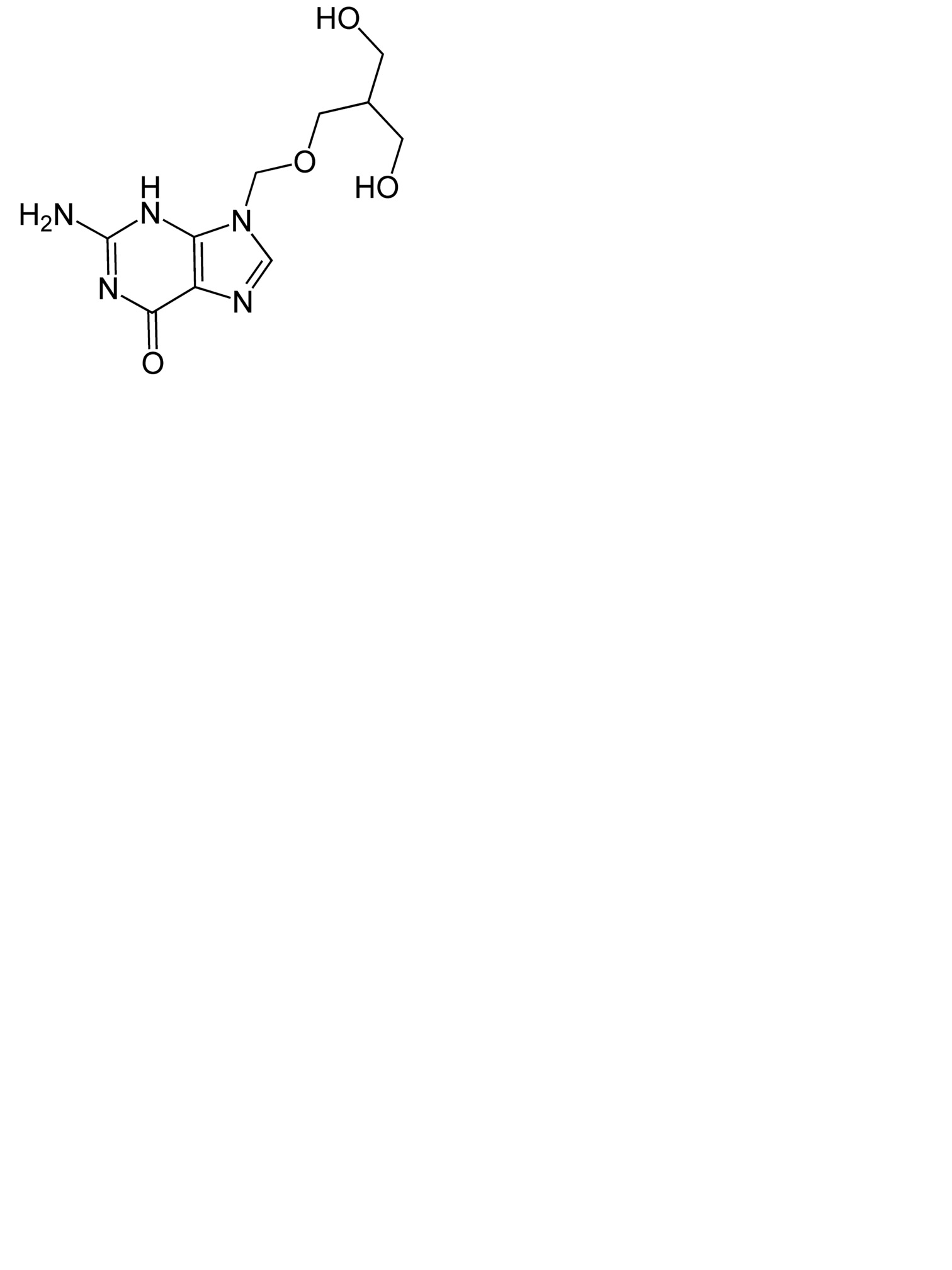
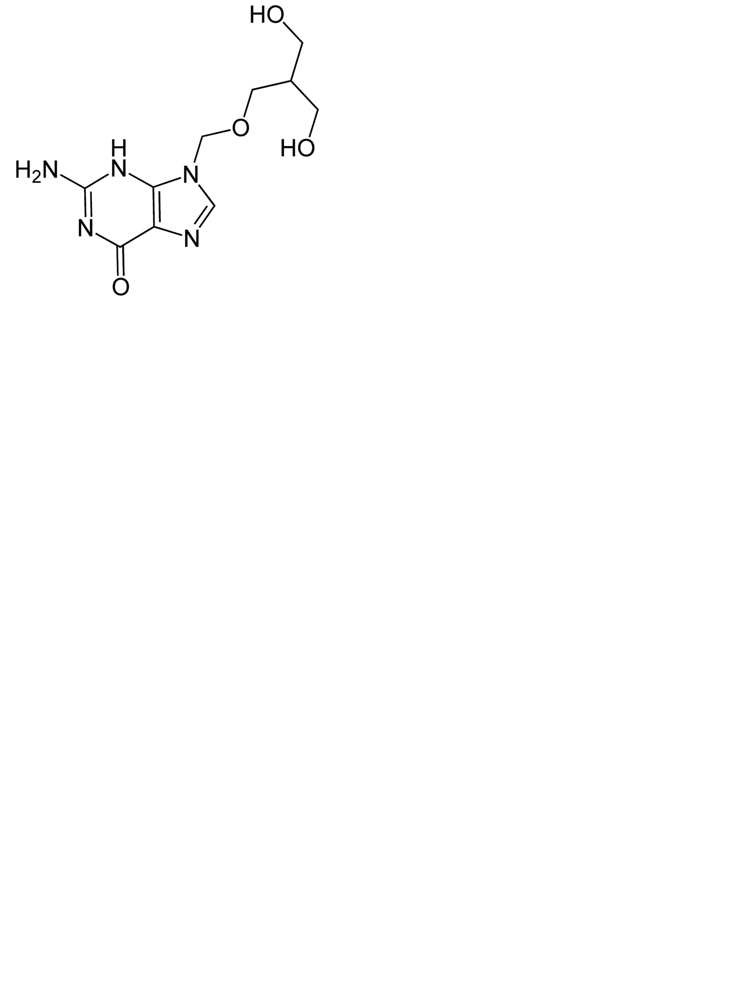
   Struttura chimica  

Collirio
Stabilità dei preparati farmaceutici   Collirio   Stabilità dei preparati farmaceutici : Ganciclovir     
contenitore Origine eccipiente Temperatura Conservazione Durata della stabilità Bibliografia
bottiglia di plastica Prodotto farmaceutico commerciale 100 mg
® = La Roche
acqua per preparazioni iniettabili >> 5 mL
2-8°C Al riparo dalla luce
84 Giorno
4729
bottiglia di plastica Prodotto farmaceutico commerciale 100 mg
® = La Roche
acqua per preparazioni iniettabili >> 5 mL
28-32°C Al riparo dalla luce
56 Giorno
4729

  Mentions Légales