Poslední aktualizace :
27/11/2025
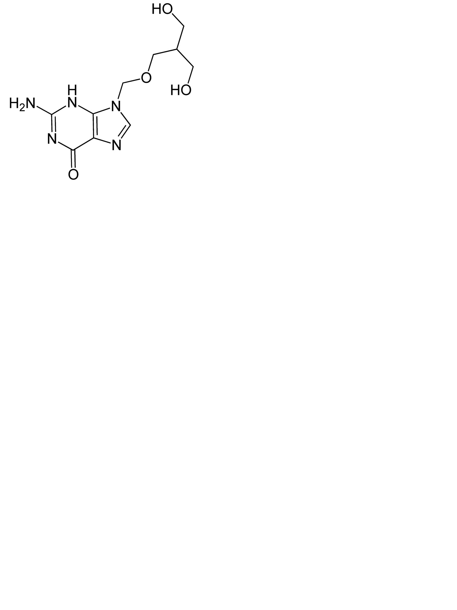
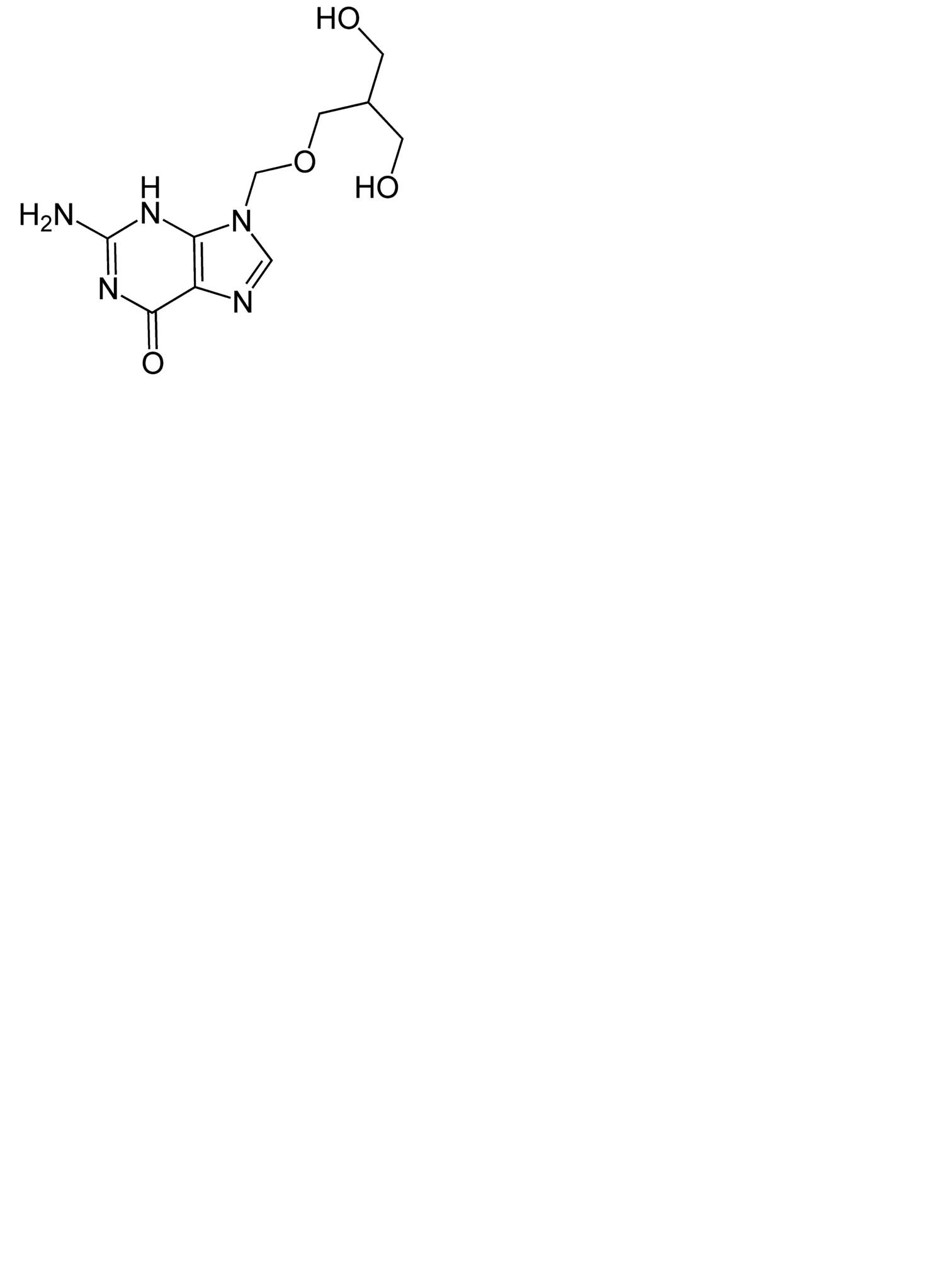
Priešvirusinis vaistas   Ganciclovir  
Akių lašai
Stabilumas farmacinių preparatų Mišinių stabilumas Stabilumą lemiantys veiksniai Suderinamumas Bibliografija pdf
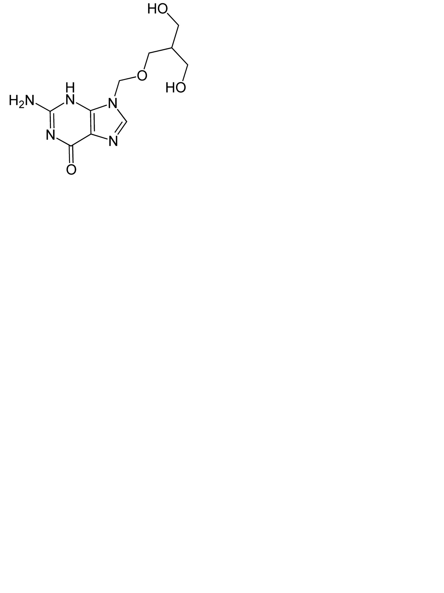
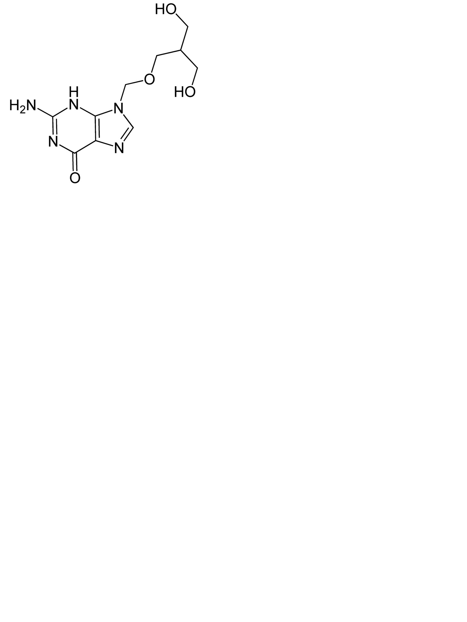
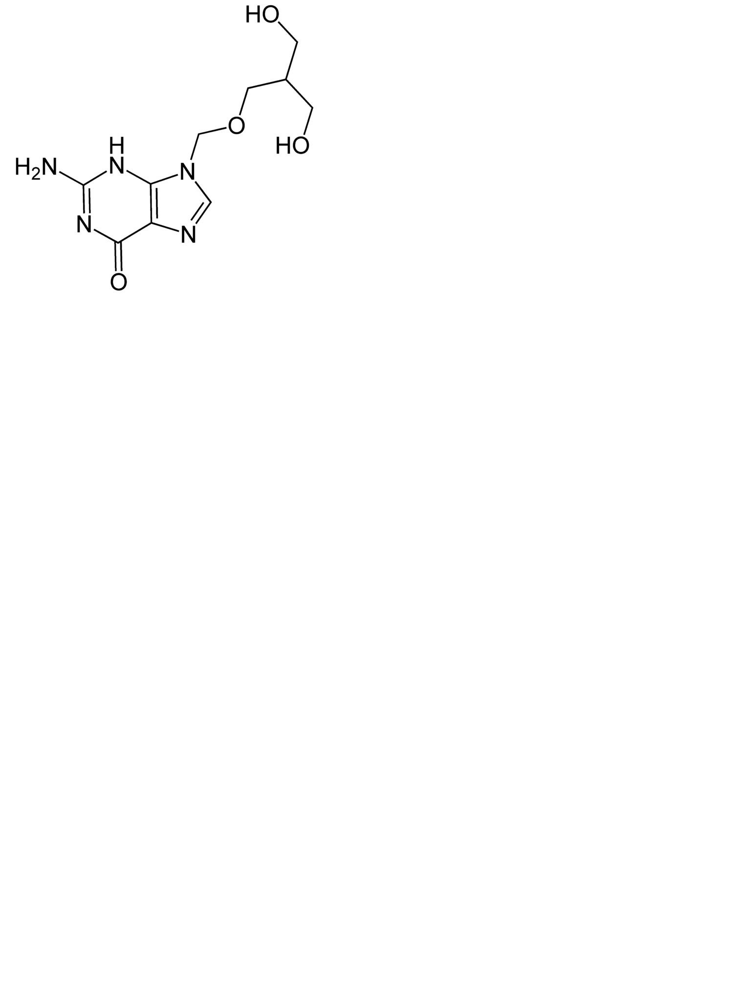
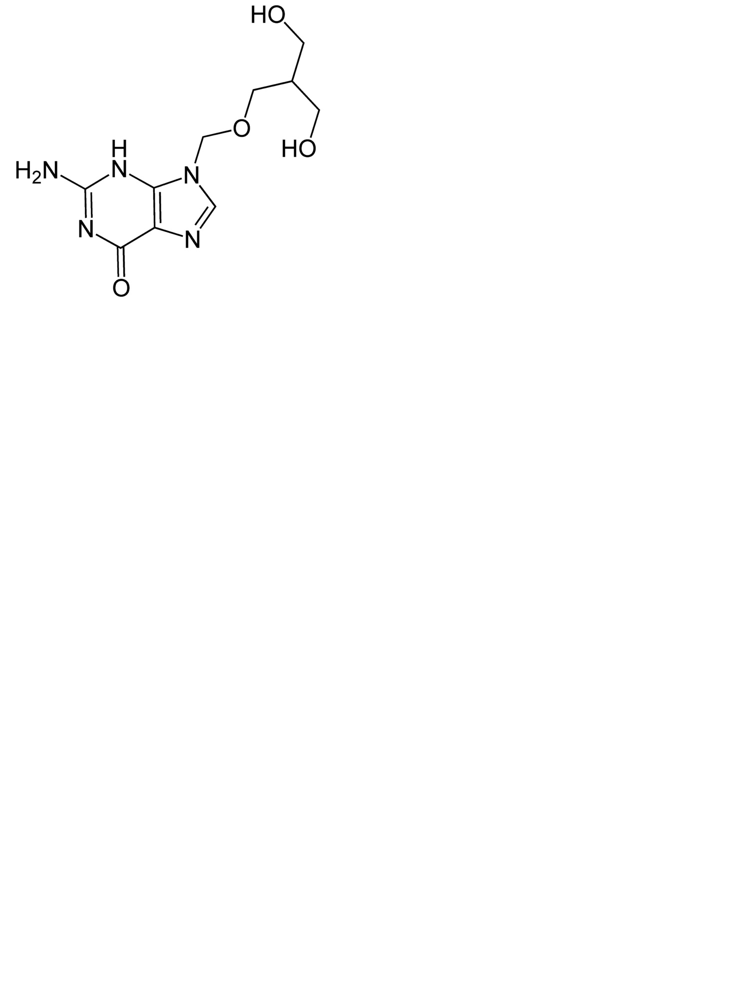
   Cheminė sandara  

Akių lašai
Stabilumas farmacinių preparatų   Akių lašai   Stabilumas farmacinių preparatų : Ganciclovir     
Pakuotė Origine Ekscipientas Temperatūra Laikymas Stabilumo trukmė Nuorodos
Plastikinis butelis Komercinis narkotikų produktas 100 mg
® = La Roche
Injekcijų vanduo >> 5 mL
2-8°C Apsaugotas nuo šviesos
84 Diena
4729
Plastikinis butelis Komercinis narkotikų produktas 100 mg
® = La Roche
Injekcijų vanduo >> 5 mL
28-32°C Apsaugotas nuo šviesos
56 Diena
4729

  Mentions Légales