Zadnji put ažurirano :
03/02/2026
protuvirusan   Ganciclovir  
kapi za oko
Stabilnost farmaceutskih pripravaka Stabilnost mješavine Stabilizacijski faktor Kompatibilnosti Bibliografija pdf
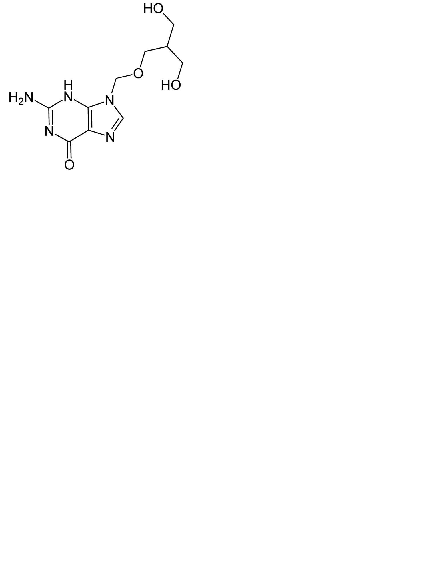
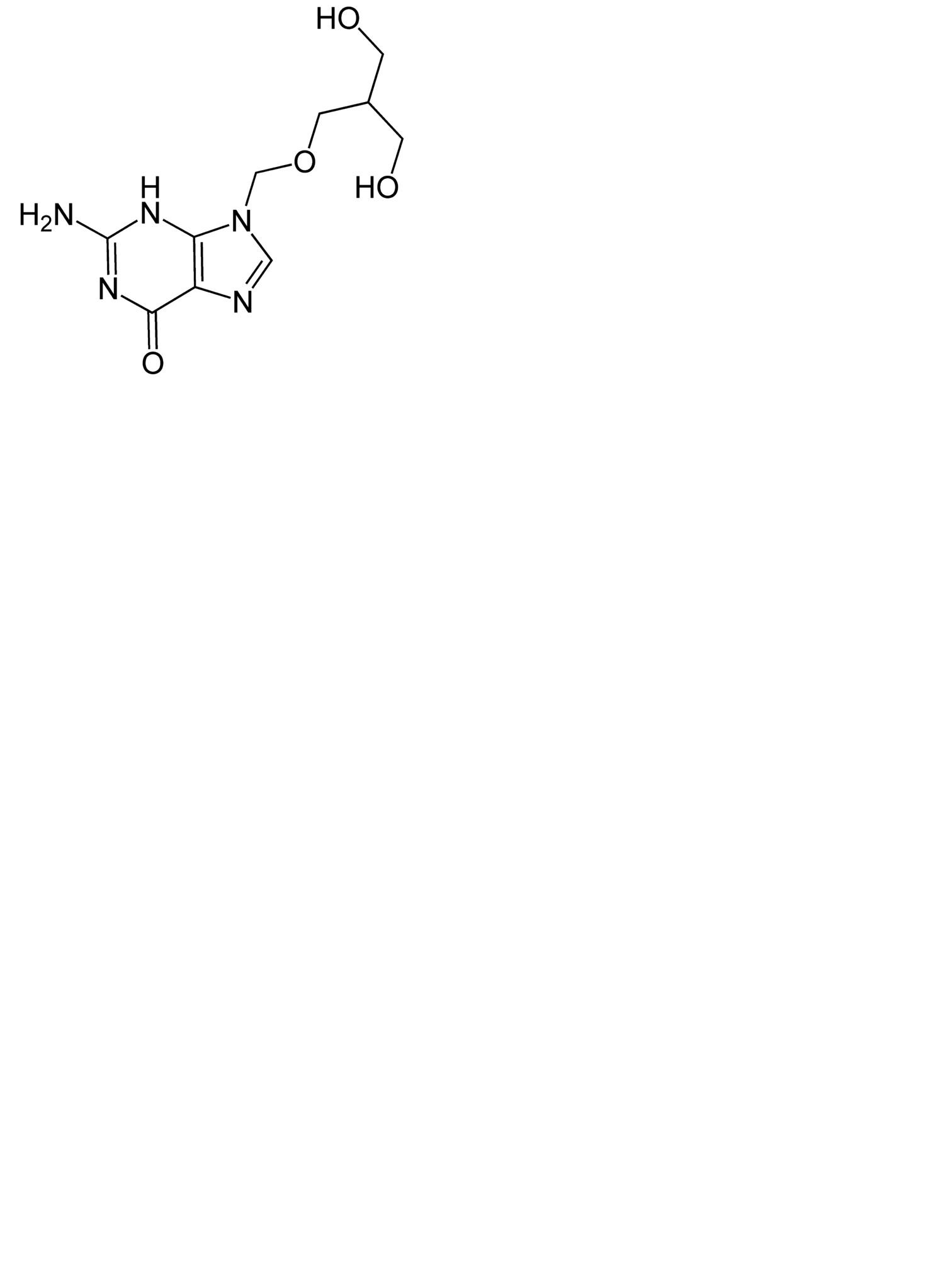
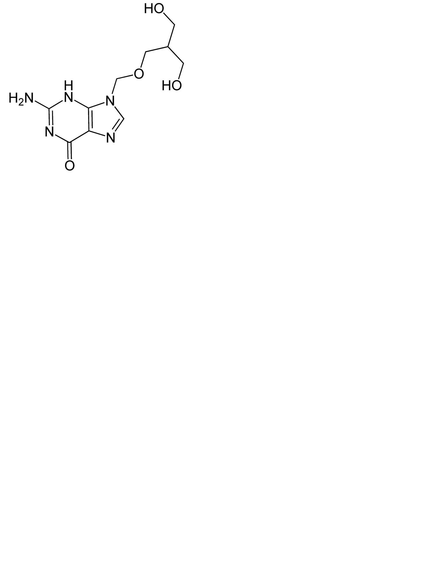
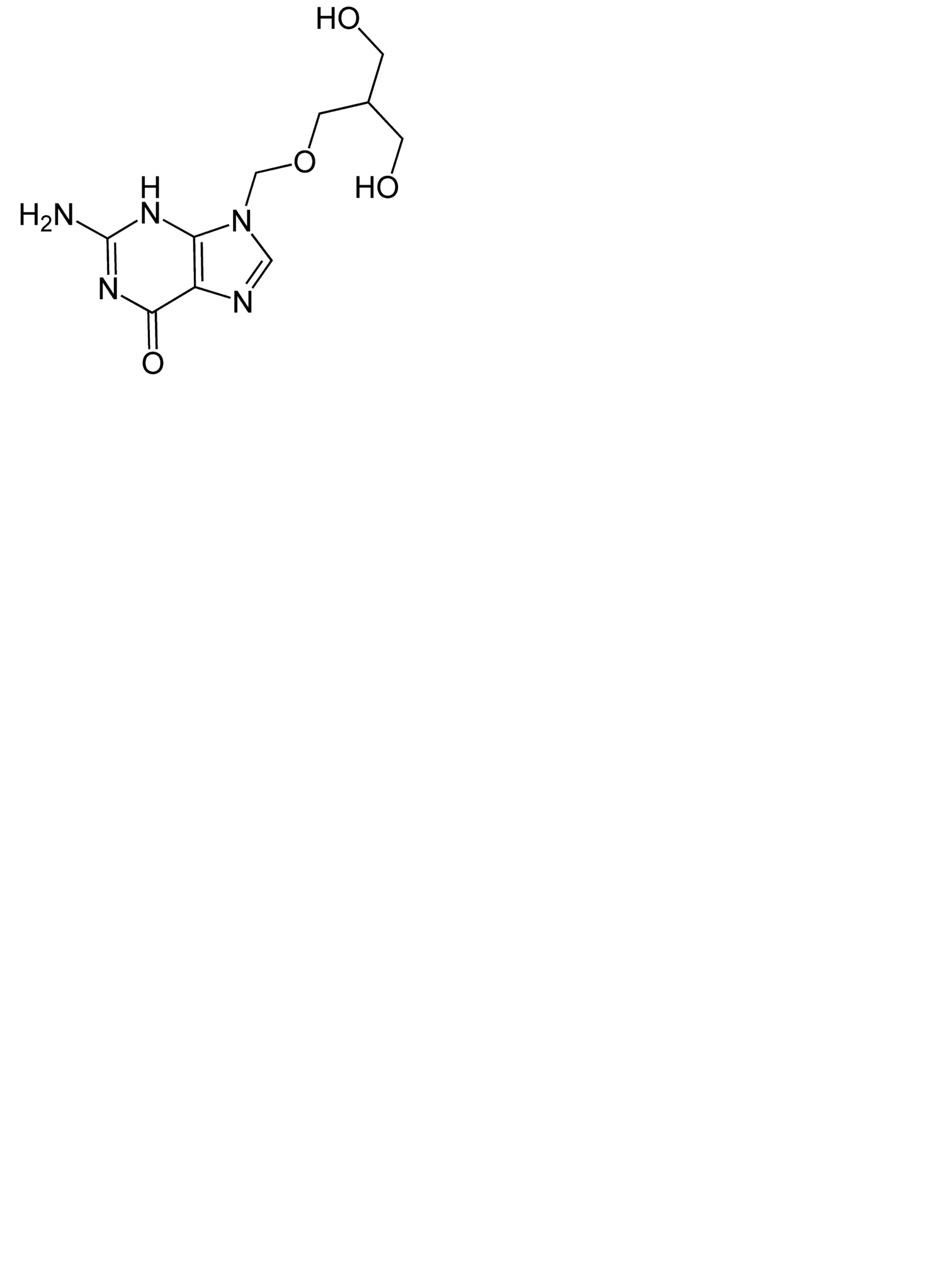
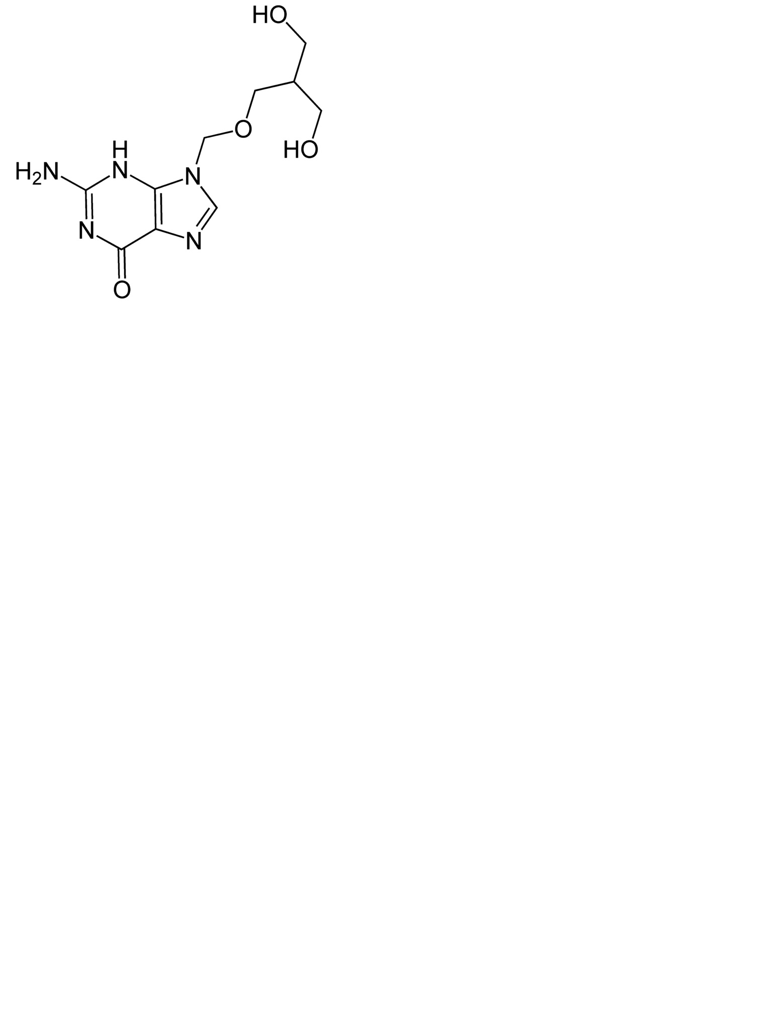
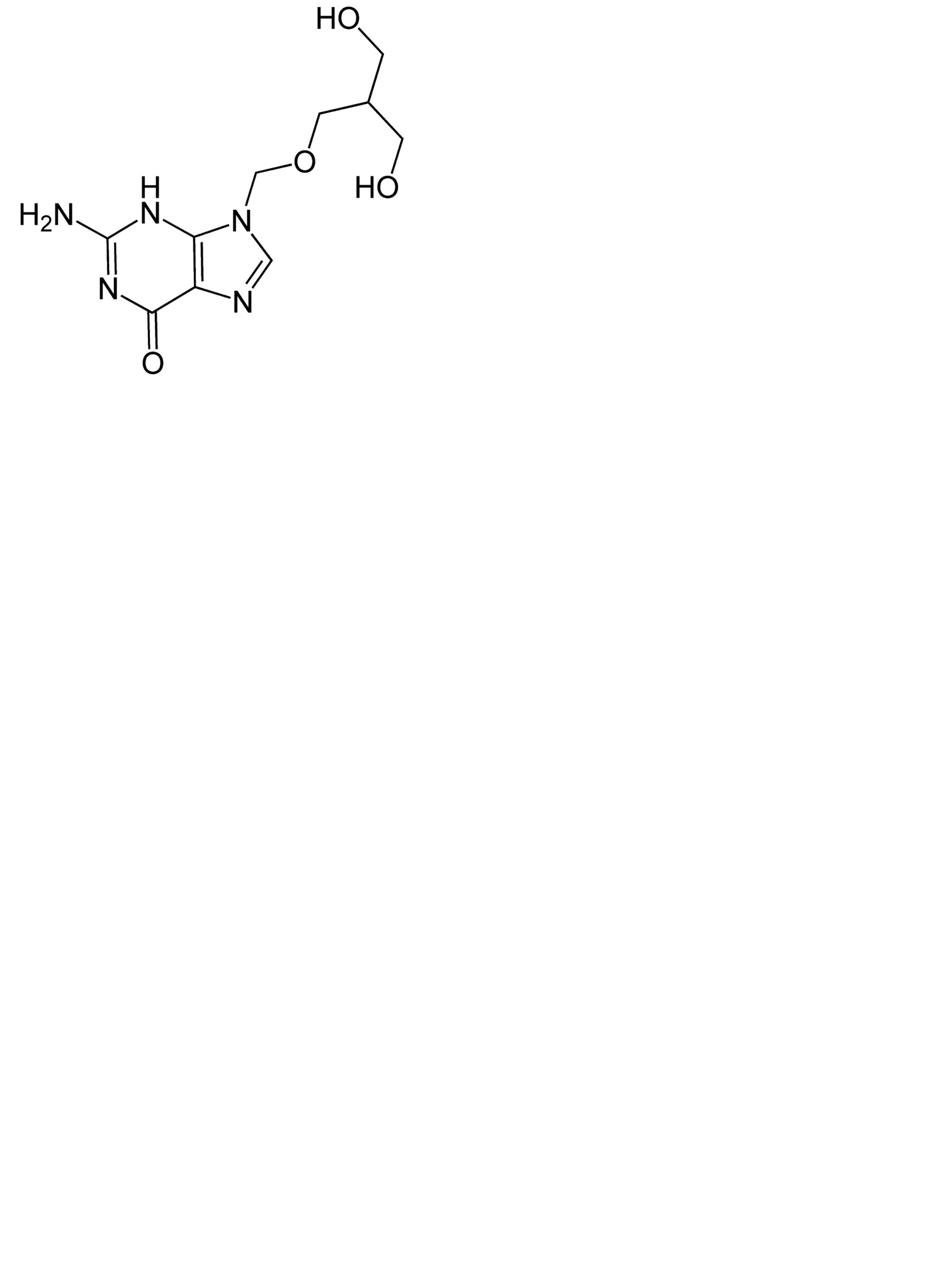
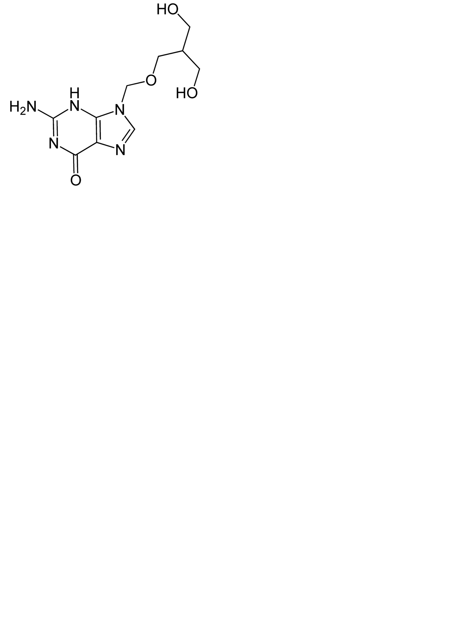
   Kemijska struktura  

kapi za oko
Stabilnost farmaceutskih pripravaka   kapi za oko   Stabilnost farmaceutskih pripravaka : Ganciclovir     
Kontejner Origine pomoćna tvar temperatura Konzerviranje Trajanje stabilnosti Bibliografija
plastična boca Komercijalni lijek 100 mg
® = La Roche
voda za injekcije >> 5 mL
2-8°C Zaštićeno od svjetlosti
84 dan
4729
plastična boca Komercijalni lijek 100 mg
® = La Roche
voda za injekcije >> 5 mL
28-32°C Zaštićeno od svjetlosti
56 dan
4729

  Mentions Légales