Останнє оновлення :
27/11/2025
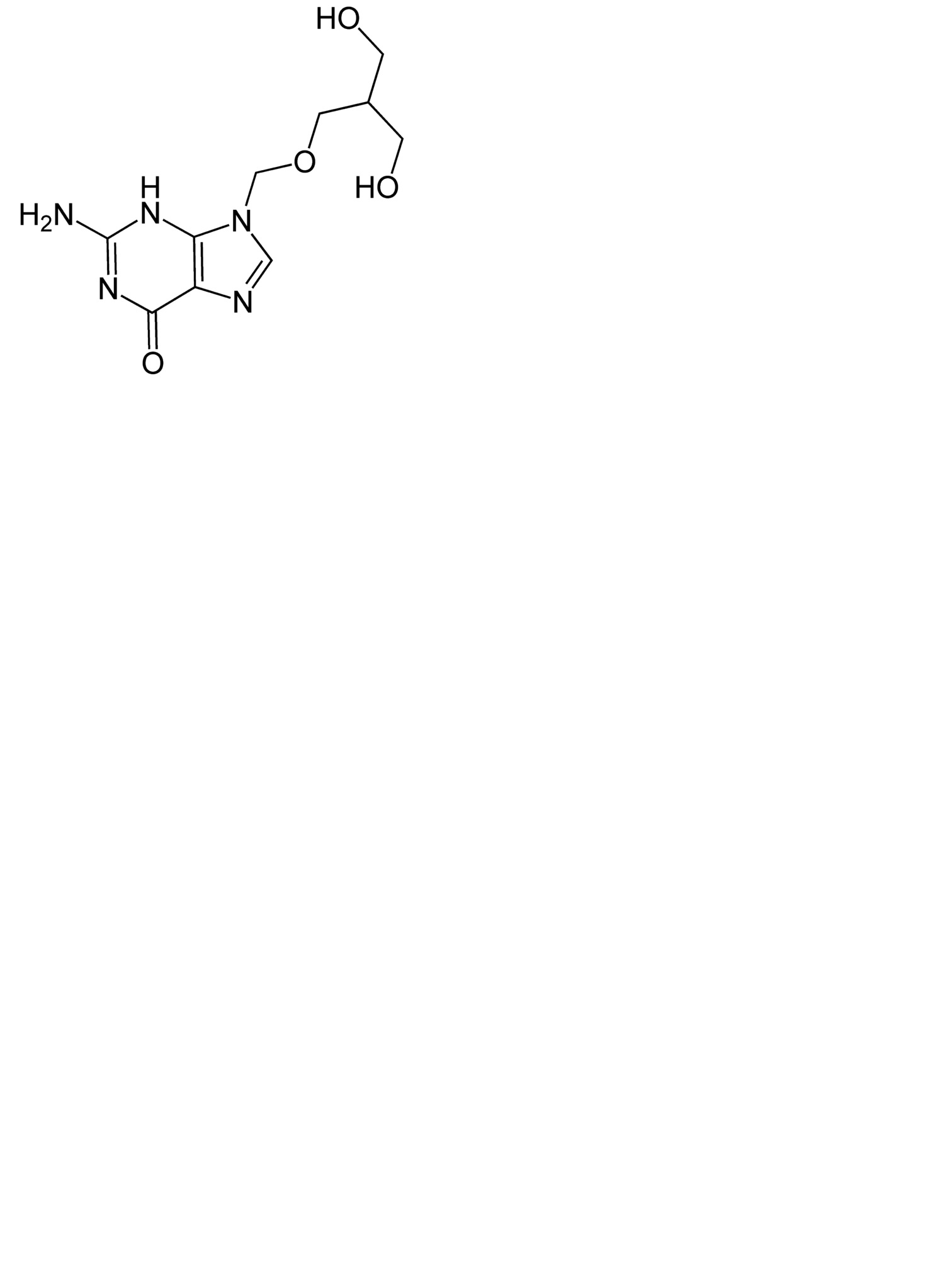
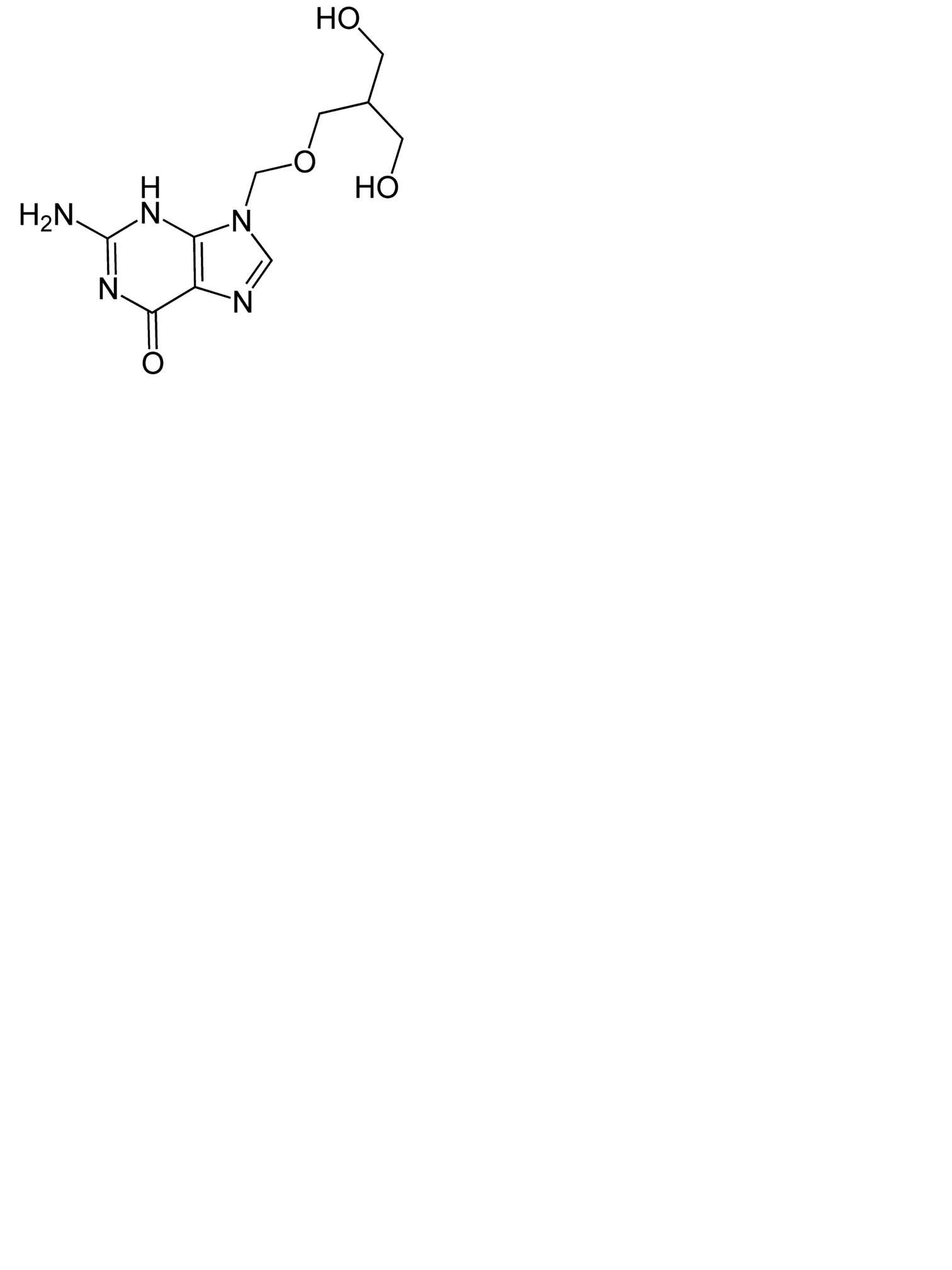
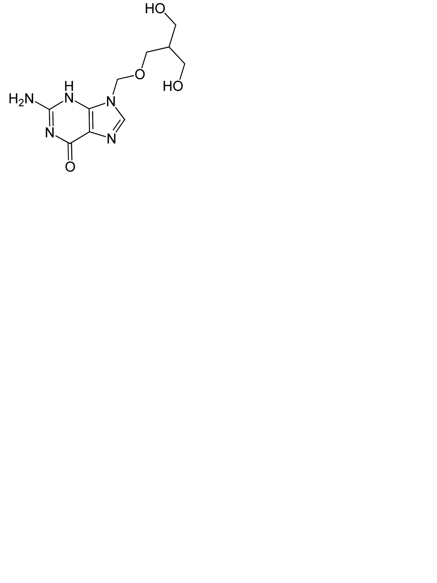
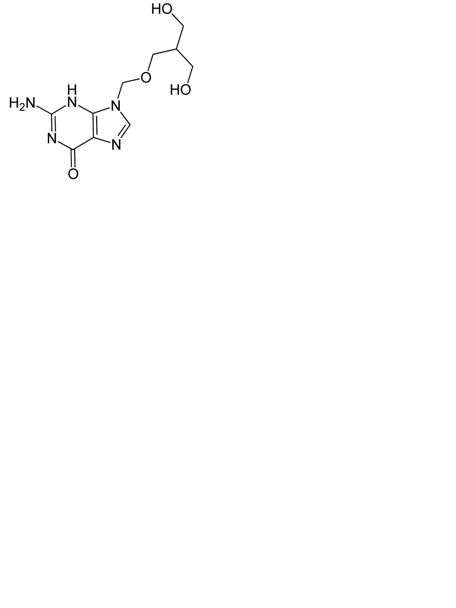
Противірусні ліки   Ganciclovir  
Очні краплі
Стабільність фармацевтичних препаратів Стійкість сумішей Фактори, що впливають на стабільність Сумісність Список літератури pdf
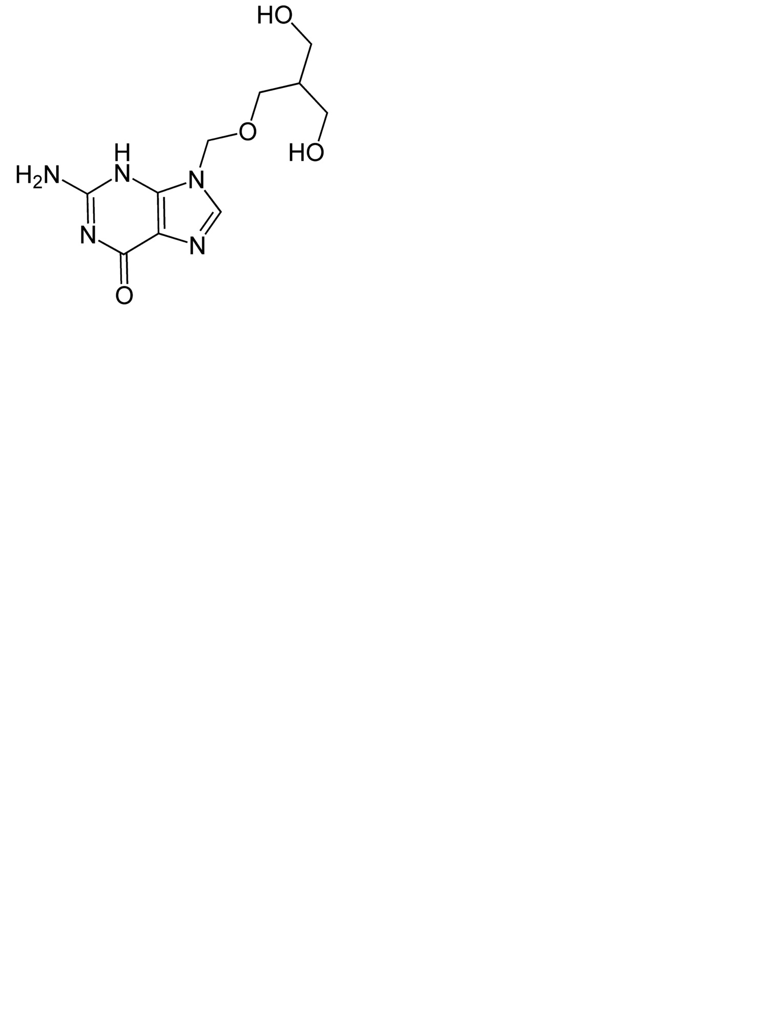
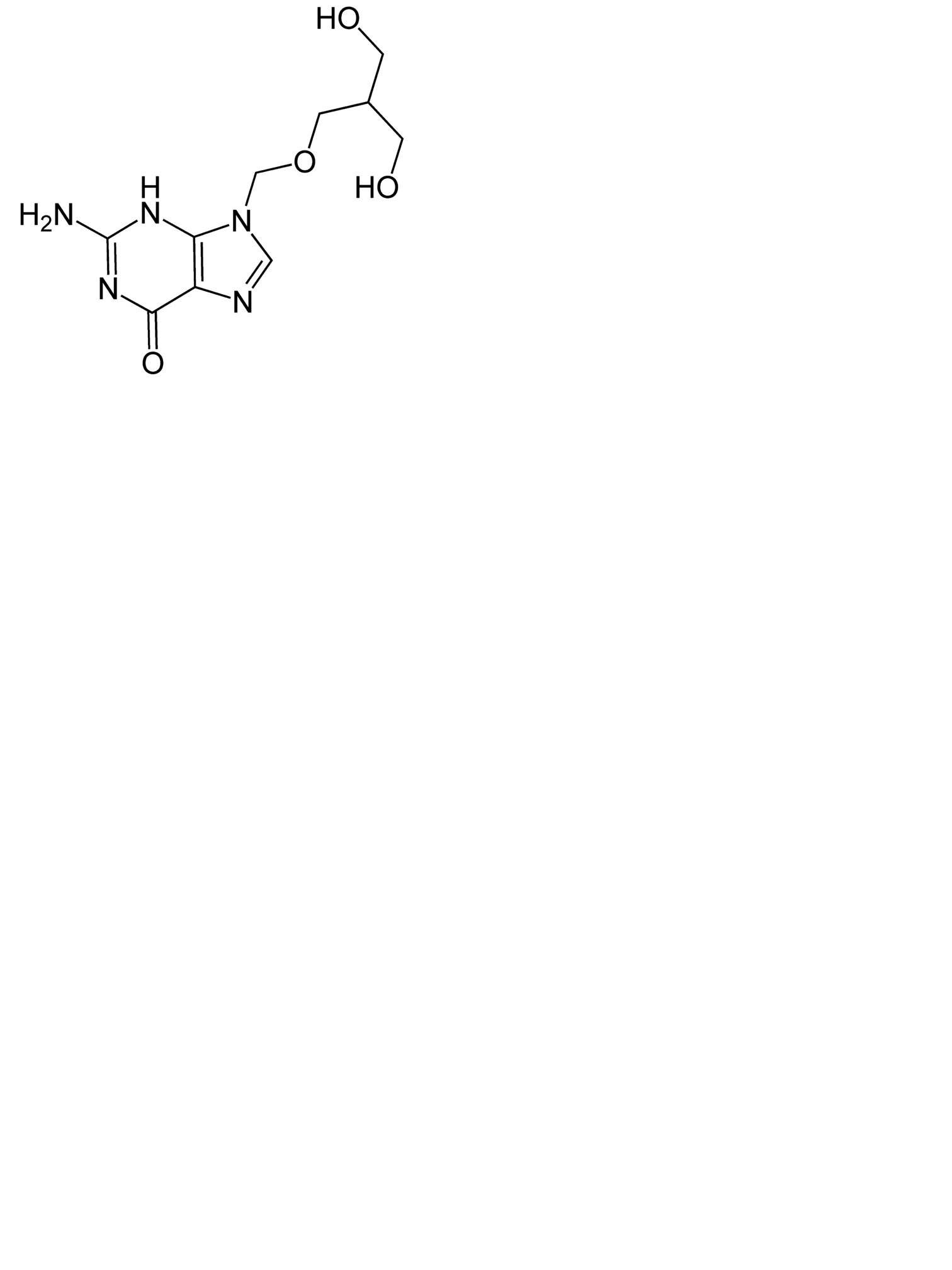
   Хімічна структура  

Очні краплі
Стабільність фармацевтичних препаратів   Очні краплі   Стабільність фармацевтичних препаратів : Ganciclovir     
Контейнер Origine допоміжна речовина температура Зберігання Тривалість стабільності Список літератури
пластикова пляшка Комерційний лікарський продукт 100 mg
® = La Roche
Вода для ін'єкцій >> 5 mL
2-8°C Берегти від світла
84 День
4729
пластикова пляшка Комерційний лікарський продукт 100 mg
® = La Roche
Вода для ін'єкцій >> 5 mL
28-32°C Берегти від світла
56 День
4729

  Mentions Légales