Senaste uppdateringen :
27/11/2025
Muskel avslappande medel   Atracurium besylate  
injektion
Lösningars stabilitet Stabilitet i blandningar Faktorer som påverkar stabiliteten Kompatibilitet Administreringssätt Hänvisningar pdf
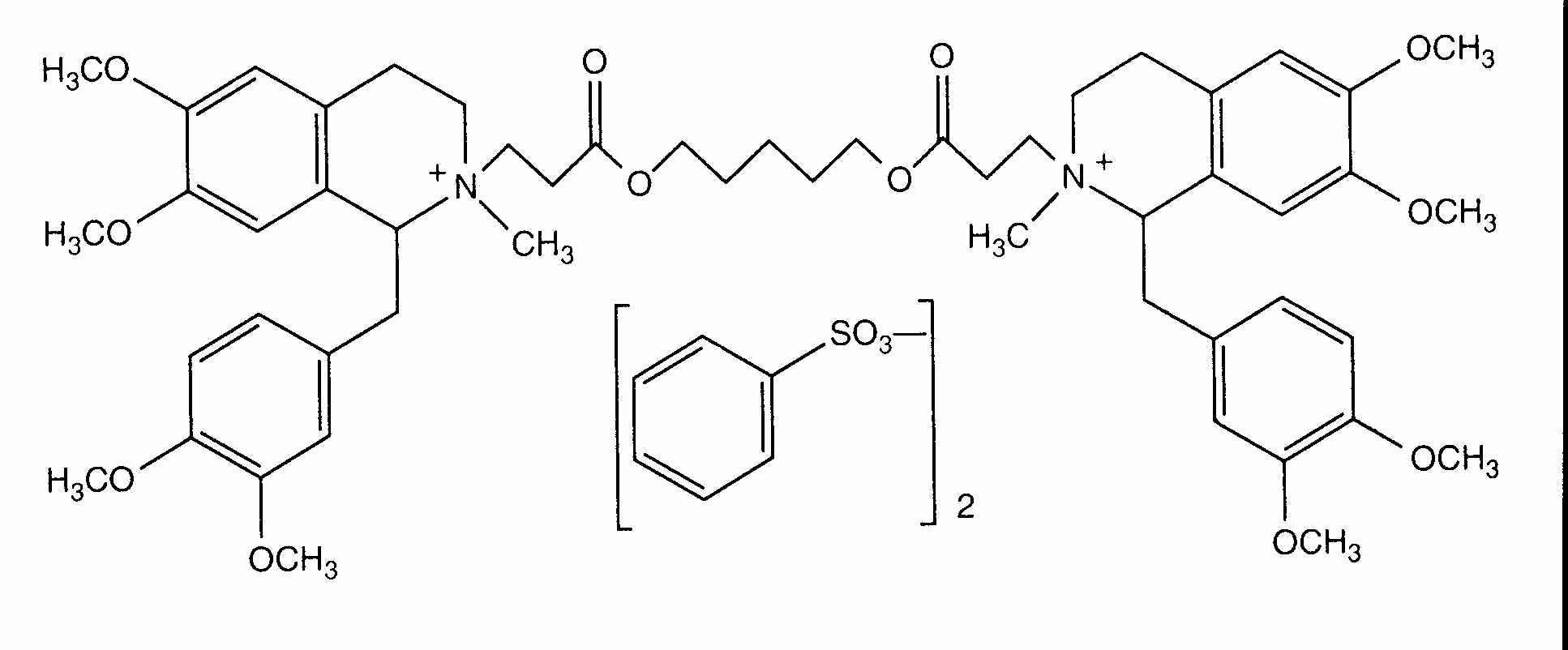
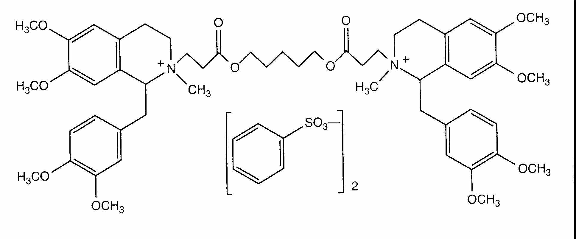
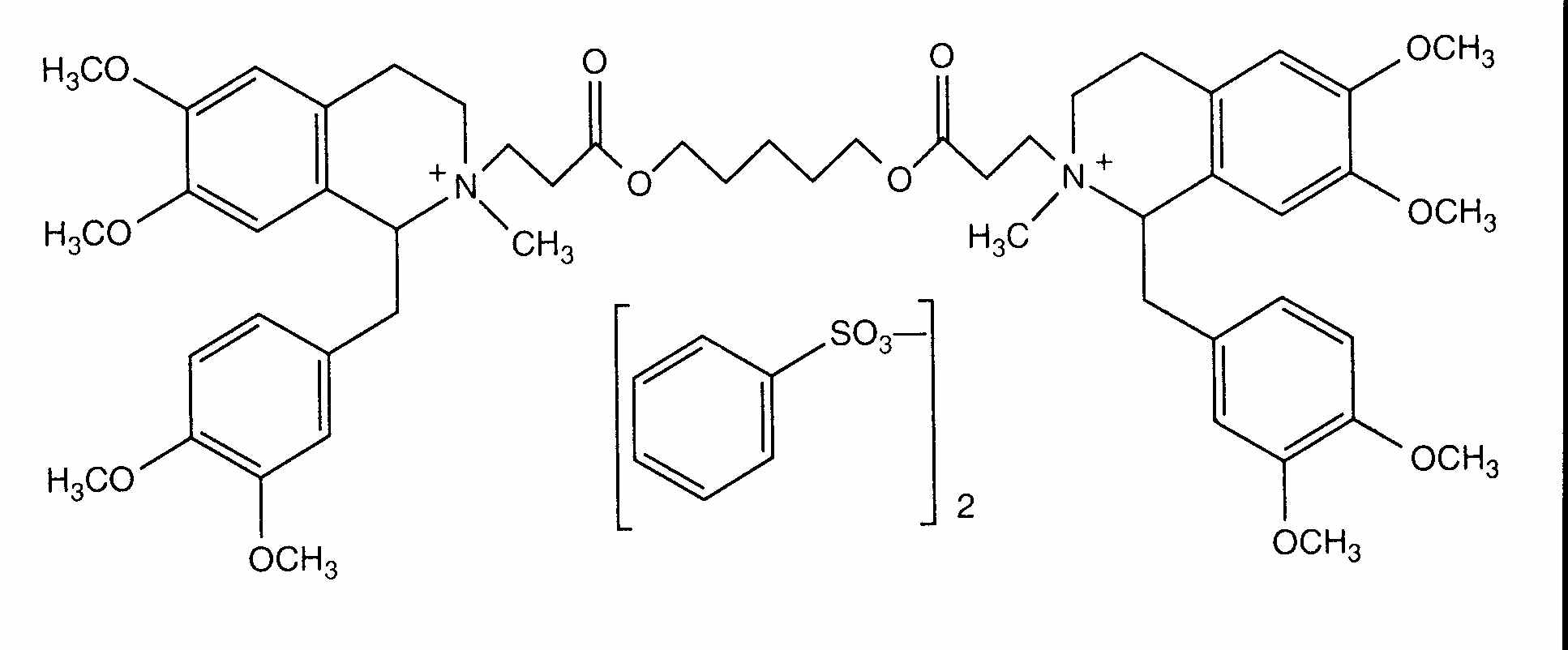
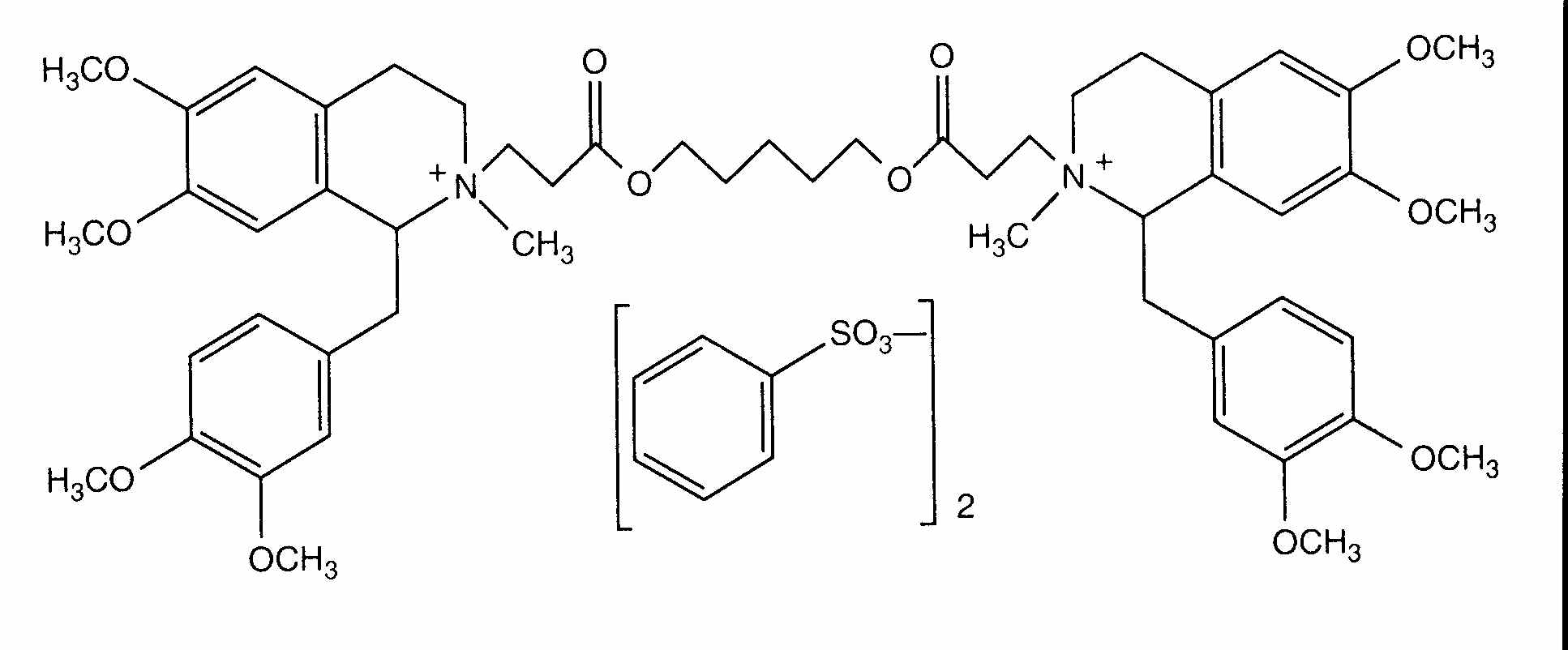
   Molekylstruktur  

Varunamn   Varunamn     

Angivna handelsnamn på läkemedel är enbart vägledande då formulering inklusive hjälpämnen kan variera mellan länder och tillverkare

Abbocurium Polen
Acurmil Italien
Ancour Iran
Anecur Iran
Atacur Saudi-Arabien
Atrabesylate Egypten
Atracurio Argentina, Brasilien, Spanien
Atracurio besilato Chile, Italien, Peru, Venezuela
Atracurium Argentina, Egypten, Förenade Arabemiraten, Iran, Italien, Malaysia, Österrike, Saudi-Arabien, Storbritannien, Sverige, Tyskland
Atracurium besilat Österrike
Atracurium besilate Australien, Egypten, Förenade Arabemiraten, Förenta Staterna, Iran, Kanada, nya Zeeland, Saudi-Arabien
Atralex Malaysia
Atrasyl Turkiet
Besilato Atracurio Chile, Portugal, Spanien
Faulcurium Egypten, Portugal
Gelolagar Argentina
Laurak Spanien
Neucurium Turkiet
Notrixum Turkiet
Relactrac Colombia
Relatrac Mexiko
Tracrium Belgien, Chile, Colombia, Ecuador, Egypten, Förenade Arabemiraten, Förenta Staterna, Frankrike, Grekland, Iran, Irland, Italien, Luxemburg, Malaysia, Marocko, Mexiko, Nederländerna, nya Zeeland, Österrike, Polen, Portugal, Rumänien, Saudi-Arabien, Schweiz, Slovenien, Spanien, Storbritannien, Turkiet, Tyskland, Ungern
Tracumek Peru
Tracurix Argentina
Tracuron Argentina
Lösningars stabilitet   injektion   Lösningars stabilitet : Atracurium besylate     
Behållare Lösningsmedel Koncentration Temperatur Förvaring Stabilitets varaktighet Hänvisningar
Spruta polypropen Natriumklorid 0,9 % 0,5 >> 5 mg/ml < 30°C Skyddas från ljus
24 Timma
3676
Tillverkarens stabilitetsuppgifter

Spruta polypropen Glukos 5 % 0,5 >> 5 mg/ml < 30°C Skyddas från ljus
24 Timma
3676
Tillverkarens stabilitetsuppgifter

Spruta polypropen Ingen 10 mg/ml 25°C Ej angiven
42 Dag
657
Evidensnivå D

Spruta polypropen Ingen 10 mg/ml 40°C Ej angiven
7 Dag
657
Evidensnivå D

Spruta polypropen Ingen 10 mg/ml 5°C Skyddas från ljus
42 Dag
657
Evidensnivå D


  Mentions Légales