Dernière mise à jour :
18/03/2026
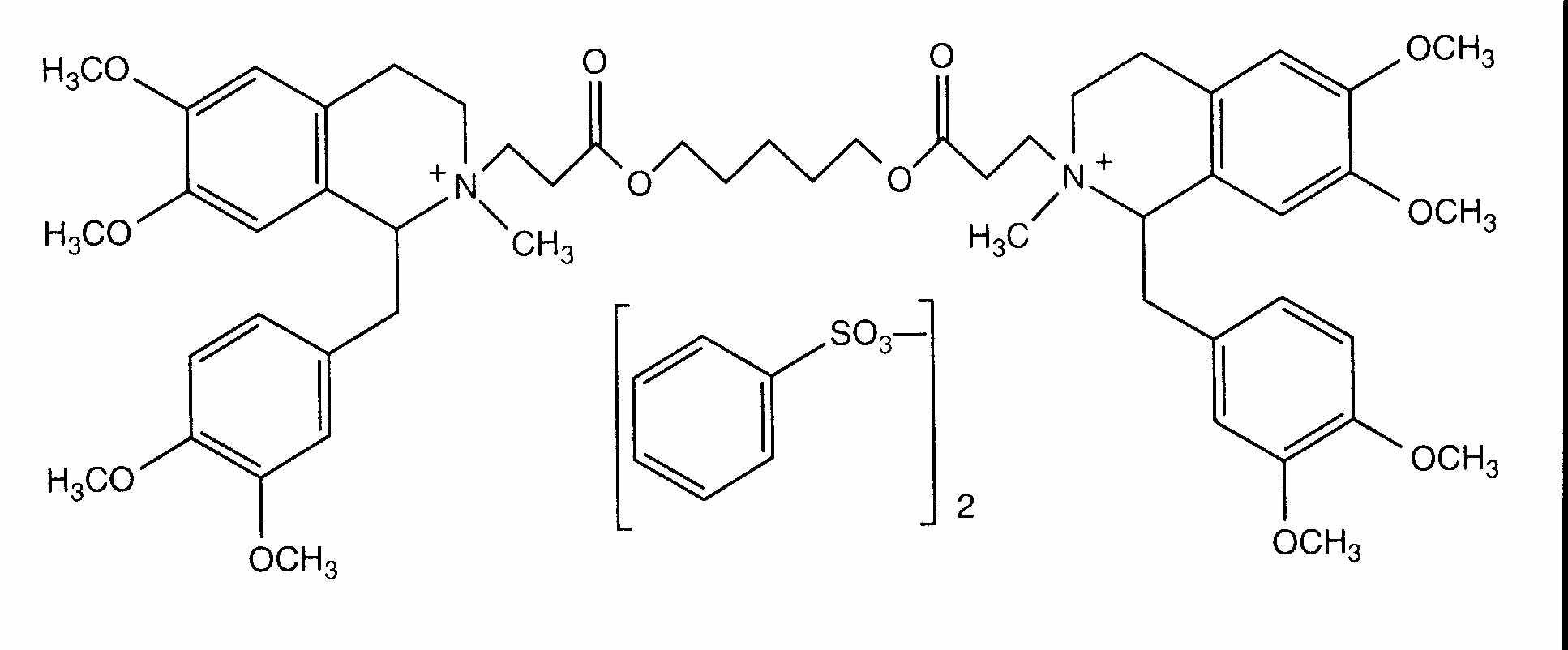
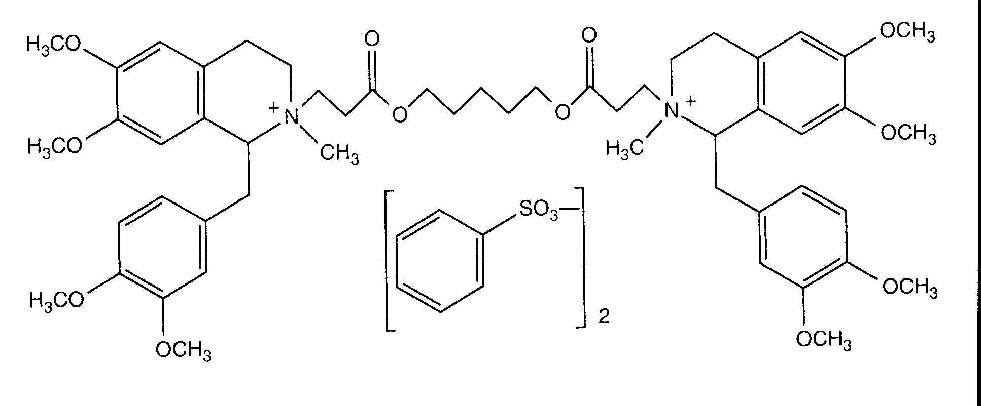
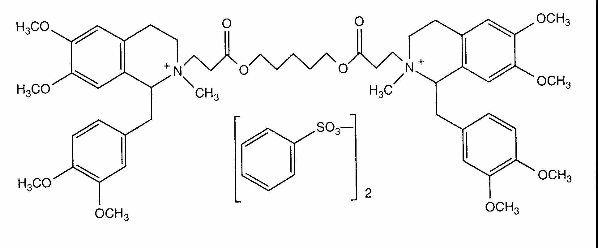
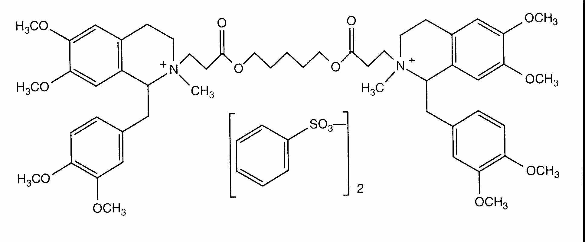
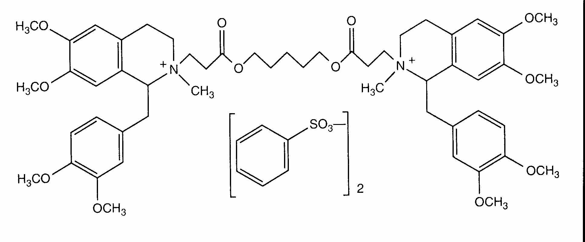
Curarisant   Atracurium besylate  
injectable
Stabilité des solutions Stabilité en mélange Facteur influençant la stabilité Compatibilités Voie d’administration Bibliographie pdf
   Structure chimique  

Noms commerciaux   Noms commerciaux     

Les noms commerciaux sont donnés à titre indicatif et la composition en excipients peut être différente selon les pays et selon les laboratoires

Abbocurium Pologne
Acurmil Italie
Ancour Iran
Anecur Iran
Atacur Arabie Saoudite
Atrabesylate Egypte
Atracurio Argentine, Brésil, Espagne
Atracurio besilato Chili, Italie, Pérou, Vénézuela
Atracurium Allemagne, Arabie Saoudite, Argentine, Autriche, Egypte, Emirats Arabes Unis , Grande Bretagne, Iran, Italie, Malaisie, Suède
Atracurium besilat Autriche
Atracurium besilate Arabie Saoudite, Australie, Canada, Egypte, Emirats Arabes Unis , Etats Unis d’Amérique, Iran, Nouvelle Zélande
Atralex Malaisie
Atrasyl Turquie
Besilato Atracurio Chili, Espagne, Portugal
Faulcurium Egypte, Portugal
Gelolagar Argentine
Laurak Espagne
Neucurium Turquie
Notrixum Turquie
Relactrac Colombie
Relatrac Mexique
Tracrium Allemagne, Arabie Saoudite, Autriche, Belgique, Chili, Colombie, Egypte, Emirats Arabes Unis , Equateur, Espagne, Etats Unis d’Amérique, France, Grande Bretagne, Grèce, Hongrie, Iran, Irlande, Italie, Luxembourg, Malaisie, Maroc, Mexique, Nouvelle Zélande, Pays bas, Pologne, Portugal, Roumanie, Slovénie, Suisse, Turquie
Tracumek Pérou
Tracurix Argentine
Tracuron Argentine
Stabilité des solutions   injectable   Stabilité des solutions : Atracurium besylate     
Contenant Solvant Concentration Température Conservation Durée de stabilité Bibliographie
Seringue polypropylène Chlorure de sodium 0,9% 0,5 >> 5 mg/ml < 30°C A l’abri de la lumière
24 Heure
3676
Données de stabilité du fabricant

Seringue polypropylène Glucose 5% 0,5 >> 5 mg/ml < 30°C A l’abri de la lumière
24 Heure
3676
Données de stabilité du fabricant

Seringue polypropylène Aucun 10 mg/ml 25°C Non précisée
42 Jour
657
Niveau de preuve D

Seringue polypropylène Aucun 10 mg/ml 40°C Non précisée
7 Jour
657
Niveau de preuve D

Seringue polypropylène Aucun 10 mg/ml 5°C A l’abri de la lumière
42 Jour
657
Niveau de preuve D


  Mentions Légales