zadnja posodobitev :
27/11/2025
Kurarimetik   Atracurium besylate  
Brizgalka
Stabilnost raztopine Stabilnost mešanice Faktorji, ki vplivajo na stabilnost Kompatibilnost način aplikacije Viri pdf
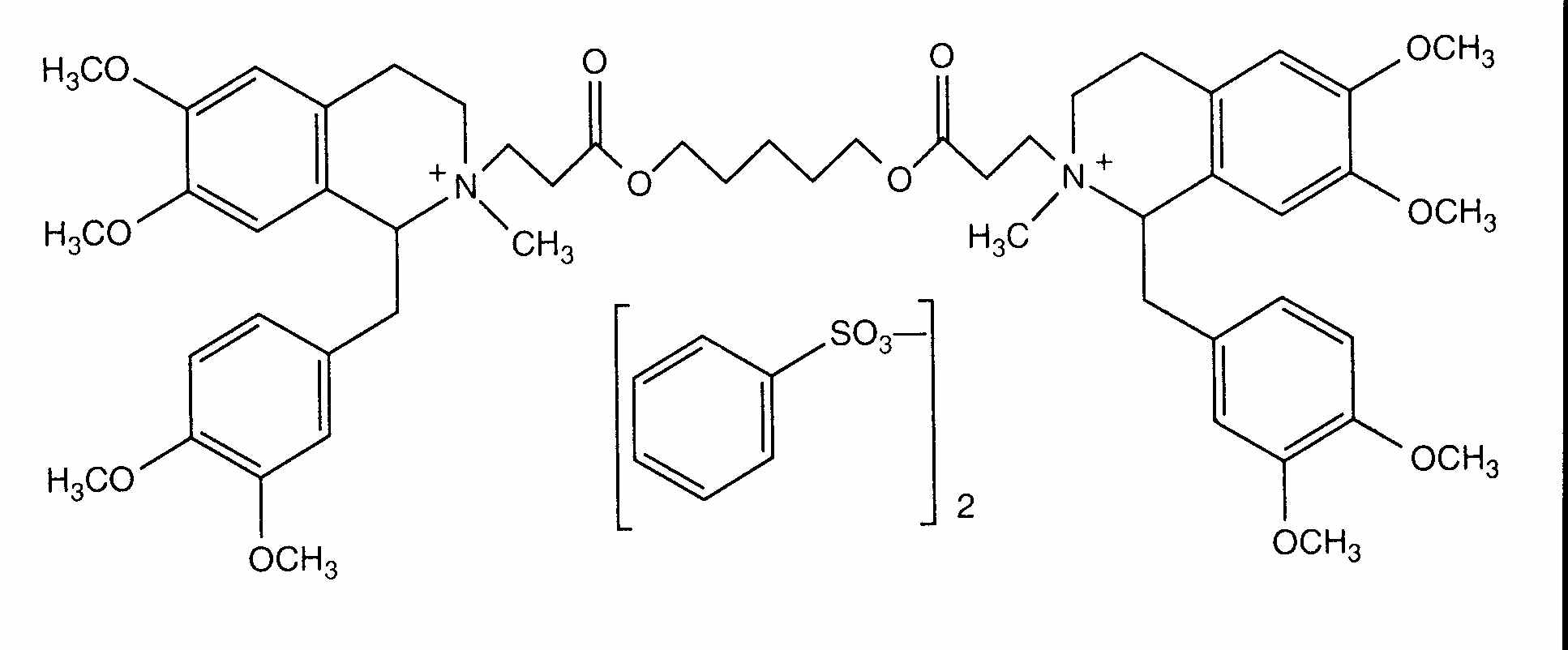
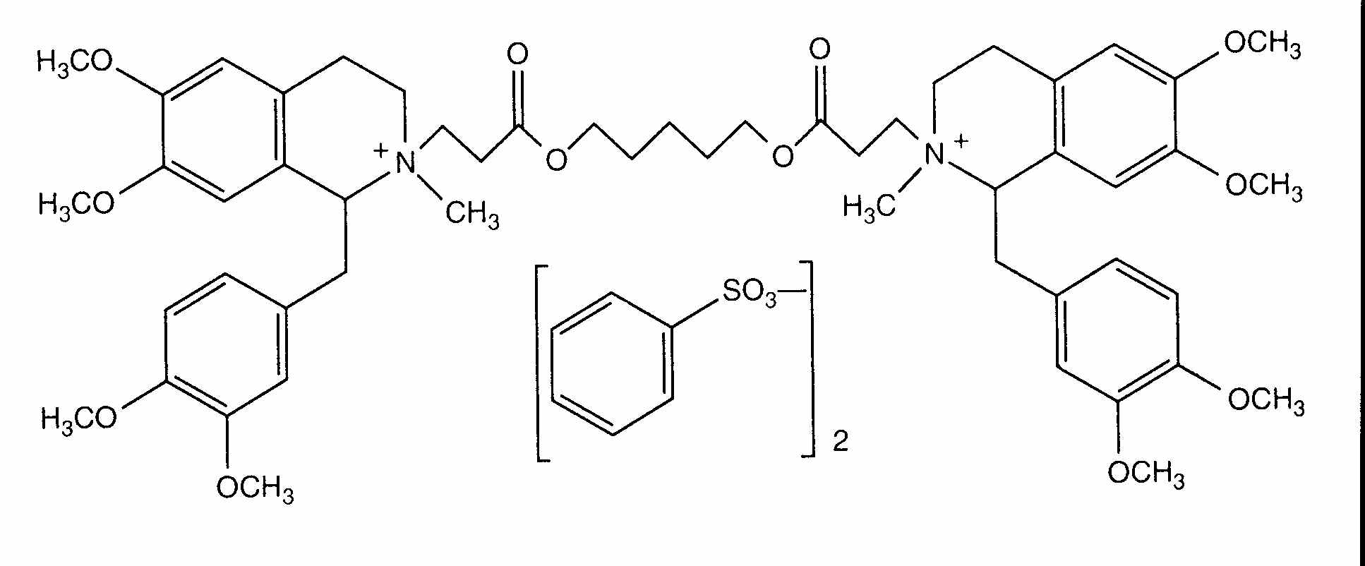
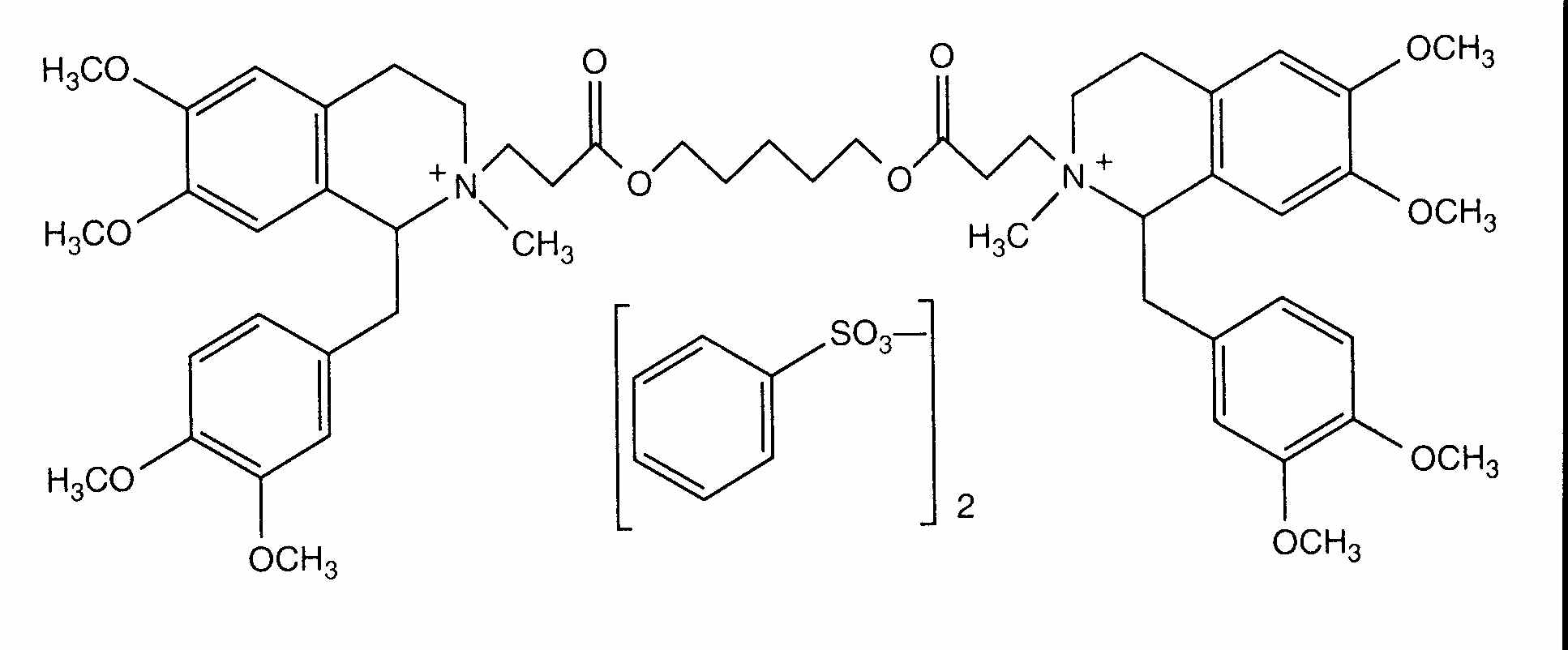
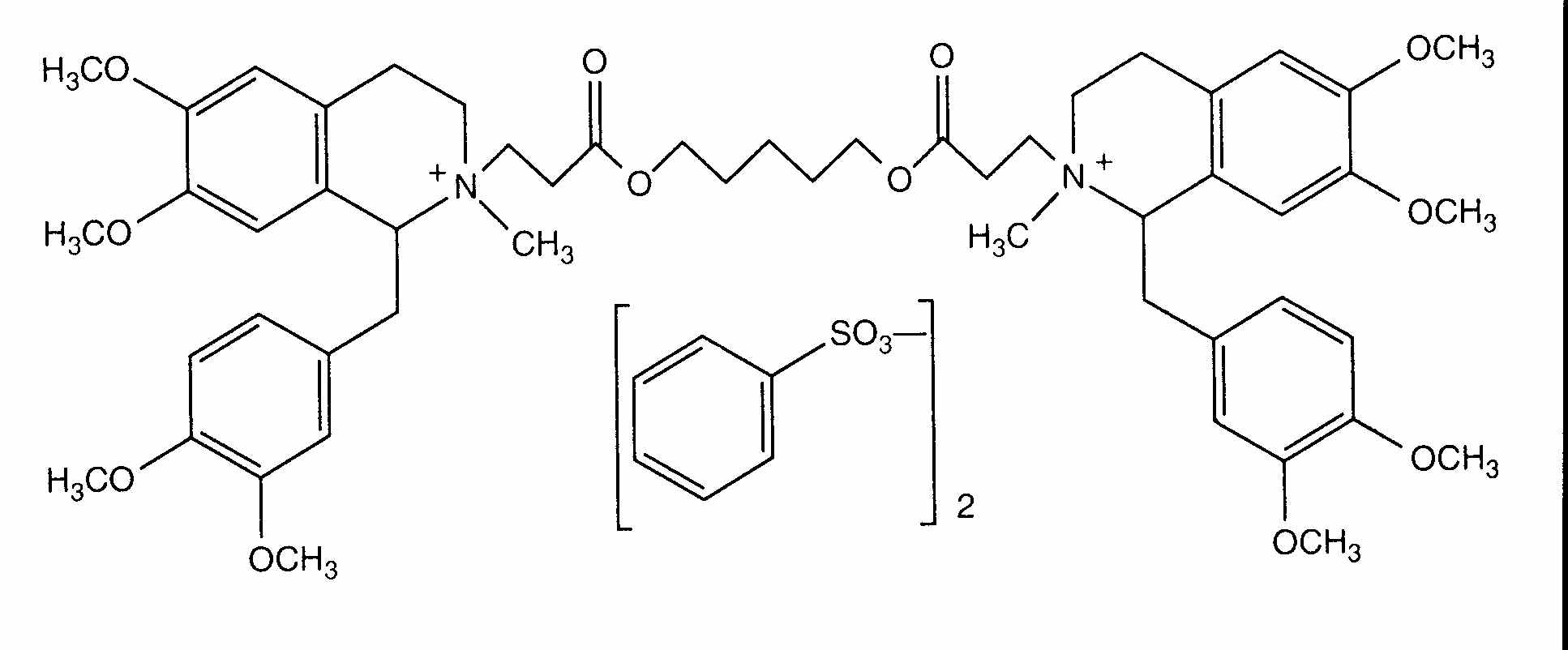
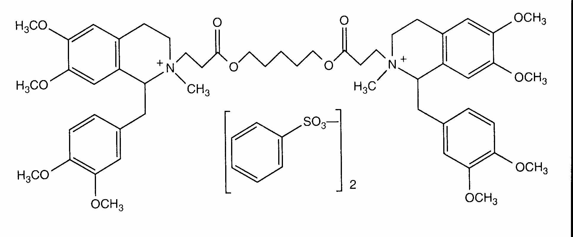
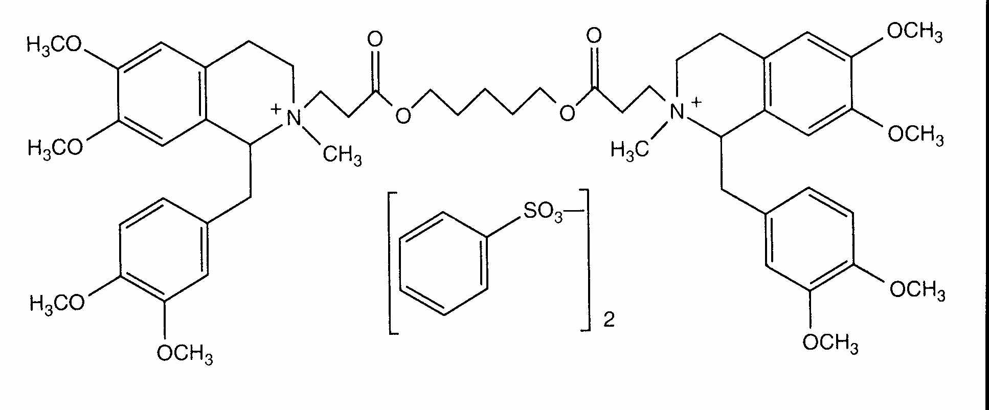
   Kemična formula  

Lastniško ime   Lastniško ime     

Sestava pomožnih snovi je med paralelami lahko različna

Abbocurium Poljska
Acurmil Italija
Ancour Iran
Anecur Iran
Atacur Savdska Arabija
Atrabesylate Egipt
Atracurio Argentina, Brazilija, Španija
Atracurio besilato Čile, Italija, Peru, Venezuela
Atracurium Argentina, Avstrija, Egipt, Iran, Italija, Malezija, Nemčija, Savdska Arabija, Švedska, Velika Britanija, Združeni arabski emirati
Atracurium besilat Avstrija
Atracurium besilate Avstralija, Egipt, Iran, Kanada, nova Zelandija, Savdska Arabija, Združene države Amerike, Združeni arabski emirati
Atralex Malezija
Atrasyl Turčija
Besilato Atracurio Čile, Portugalska, Španija
Faulcurium Egipt, Portugalska
Gelolagar Argentina
Laurak Španija
Neucurium Turčija
Notrixum Turčija
Relactrac Kolumbija
Relatrac Mehika
Tracrium Avstrija, Belgija, Čile, Egipt, Ekvador, Francija, Grčija, Iran, Irska, Italija, Kolumbija, Luksemburg, Madžarska, Malezija, Maroko, Mehika, Nemčija, Nizozemska, nova Zelandija, Poljska, Portugalska, Romunija, Savdska Arabija, Slovenija, Španija, Švica, Turčija, Velika Britanija, Združene države Amerike, Združeni arabski emirati
Tracumek Peru
Tracurix Argentina
Tracuron Argentina
Stabilnost raztopine   Brizgalka   Stabilnost raztopine : Atracurium besylate     
Vsebnik Topilo Koncentracija Temperatura Shranjevanje Trajanje stabilnosti Viri
Brizgalka polipropilen Natrijev klorid 0,9% 0,5 >> 5 mg/ml < 30°C Zaščiteno pred svetlobo
24 čas
3676
Podatki stabilnosti proizvajalca

Brizgalka polipropilen Glukoza 5% 0,5 >> 5 mg/ml < 30°C Zaščiteno pred svetlobo
24 čas
3676
Podatki stabilnosti proizvajalca

Brizgalka polipropilen Nobeden 10 mg/ml 25°C Nedoločeno
42 Dan
657
 Stopnja dokaza D

Brizgalka polipropilen Nobeden 10 mg/ml 40°C Nedoločeno
7 Dan
657
 Stopnja dokaza D

Brizgalka polipropilen Nobeden 10 mg/ml 5°C Zaščiteno pred svetlobo
42 Dan
657
 Stopnja dokaza D


  Mentions Légales