最新更新 :
18/03/2026
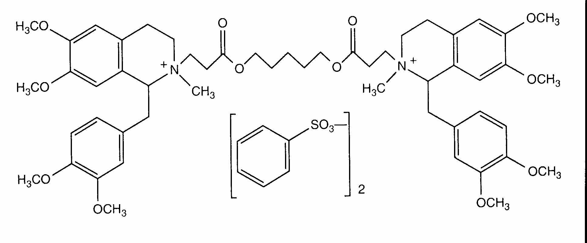
仿箭毒药   Atracurium besylate  
注射液
溶液稳定性 混合物稳定性 影响稳定性的因素 兼容性 用药途径 引用文献 PDF
   化学式  

商品名   商品名     

商品名仅供参考, 药品所用的辅料可能依国家或厂商不同有所不同。

Abbocurium 波兰
Acurmil 意大利
Ancour 伊朗
Anecur 伊朗
Atacur 沙特阿拉伯
Atrabesylate 埃及
Atracurio 巴西, 西班牙, 阿根廷
Atracurio besilato 委内瑞拉, 意大利, 智利, 秘鲁
Atracurium 伊朗, 埃及, 奥地利, 德国, 意大利, 沙特阿拉伯, 瑞典, 英国, 阿根廷, 阿联酋, 马来西亚
Atracurium besilat 奥地利
Atracurium besilate 伊朗, 加拿大, 埃及, 新西蘭, 沙特阿拉伯, 澳大利亚, 美国, 阿联酋
Atralex 马来西亚
Atrasyl 土耳其
Besilato Atracurio 智利, 葡萄牙, 西班牙
Faulcurium 埃及, 葡萄牙
Gelolagar 阿根廷
Laurak 西班牙
Neucurium 土耳其
Notrixum 土耳其
Relactrac 哥伦比亚
Relatrac 墨西哥
Tracrium 伊朗, 匈牙利, 卢森堡, 厄瓜多尔, 哥伦比亚, 土耳其, 埃及, 墨西哥, 奥地利, 希腊, 德国, 意大利, 摩洛哥, 斯洛文尼亚, 新西蘭, 智利, 比利时, 沙特阿拉伯, 法国, 波兰, 爱尔兰, 瑞士, 罗马尼亚, 美国, 英国, 荷兰, 葡萄牙, 西班牙, 阿联酋, 马来西亚
Tracumek 秘鲁
Tracurix 阿根廷
Tracuron 阿根廷
溶液稳定性   注射液   溶液稳定性 : Atracurium besylate     
容器 溶剂 浓度 温度 保存 穩定持續時間 引用文献
注射器  聚丙烯 NaCl 0,9% 0,5 >> 5 mg/ml < 30°C 避光
24 小时
3676
生产厂家提供的稳定性数据

注射器  聚丙烯 葡萄糖5% 0,5 >> 5 mg/ml < 30°C 避光
24 小时
3676
生产厂家提供的稳定性数据

注射器  聚丙烯 无 10 mg/ml 25°C 无特殊要求
42 白天
657
D级

注射器  聚丙烯 无 10 mg/ml 40°C 无特殊要求
7 白天
657
D级

注射器  聚丙烯 无 10 mg/ml 5°C 避光
42 白天
657
D级


  Mentions Légales