viimane versioon :
27/11/2025
Kuraare-taoline  ravim   Atracurium besylate  
Süsteravim
Stabiilsus lahustes Stabiilsust mõjutavad tegurid stabiilsust mõjutavad faktorid Sobimatus Manustamis viis Viited pdf
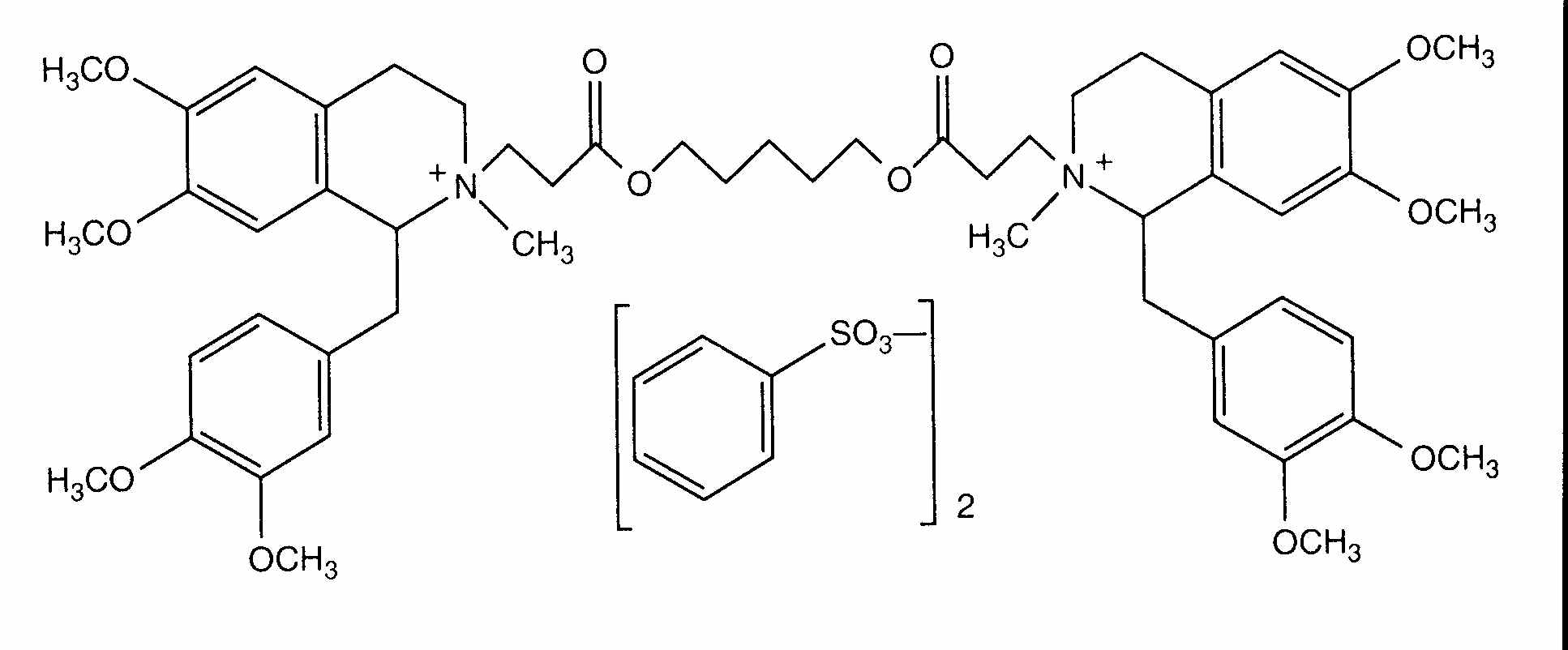
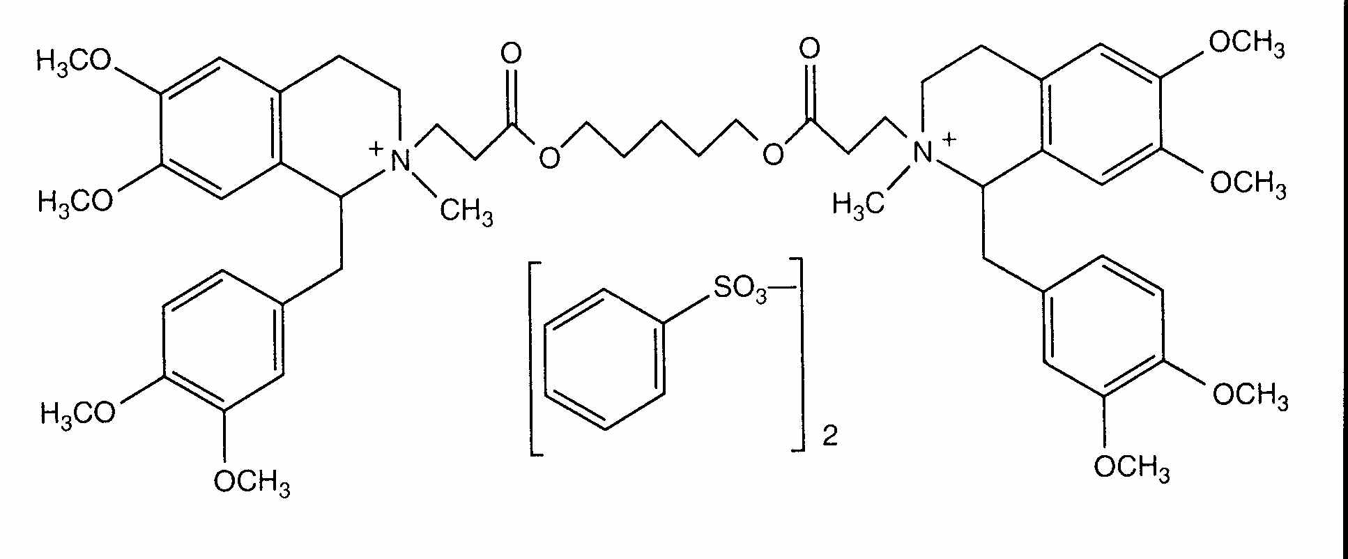
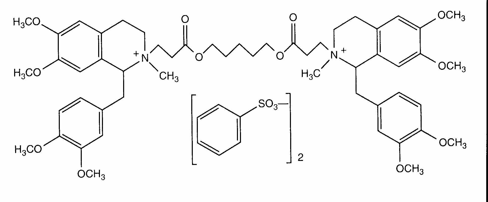
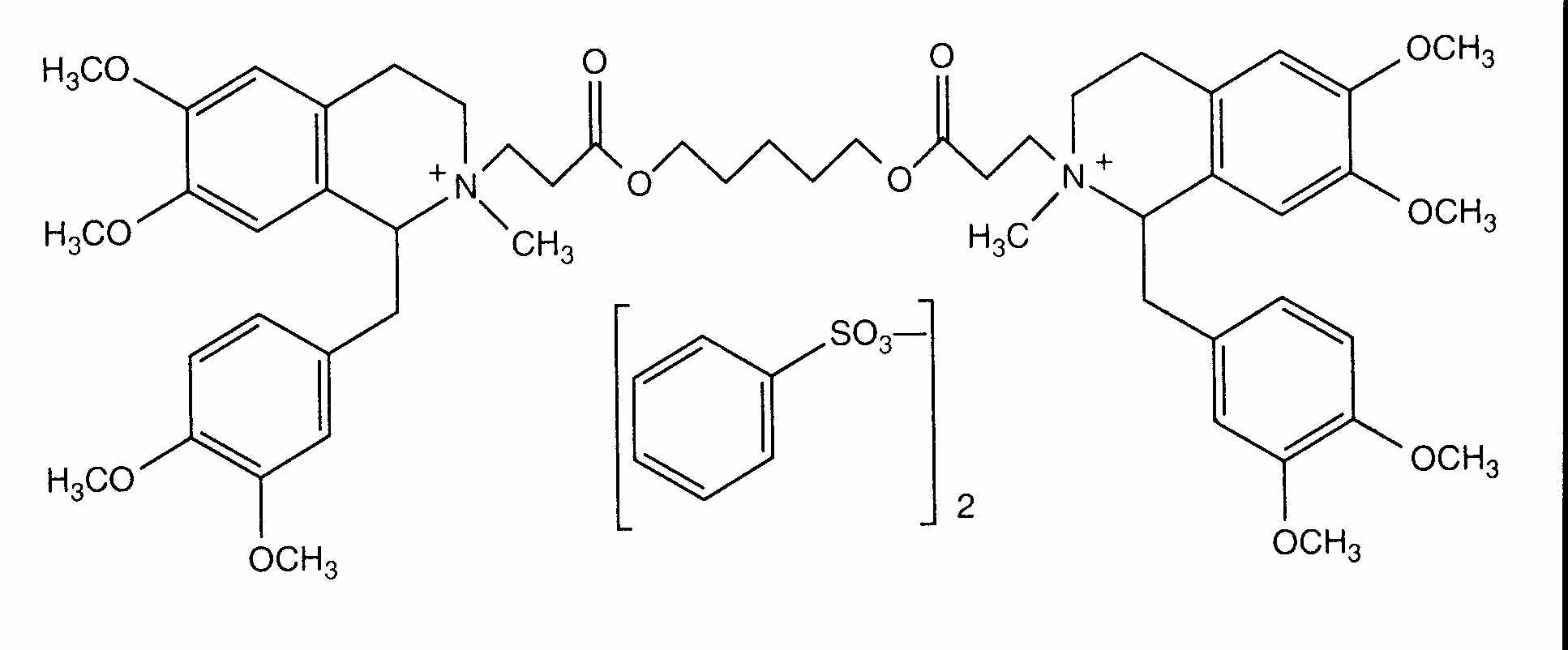
   keemiline struktuur  

Kaubanduslikud nimed erinevates maades   Kaubanduslikud nimed erinevates maades     

Preparaatide nimed on näitlikud ja abianete sisaldus võib erineda sõltuvalt riigist ja laborist

Abbocurium Poola
Acurmil Itaalia
Ancour Iraan
Anecur Iraan
Atacur Saudi Araabia
Atrabesylate Egiptus
Atracurio Argentiina, Brasiilia, Hispaania
Atracurio besilato Itaalia, Maroko, Tšiili, Venetsueela
Atracurium Araabia Ühendemiraadid, Argentiina, Austria, Egiptus, Iraan, Itaalia, Malaisia, Rootsi, Saksamaa, Saudi Araabia, Suurbritannia
Atracurium besilat Austria
Atracurium besilate Ameerika ühendriigid, Araabia Ühendemiraadid, Austraalia, Egiptus, Iraan, Kanada, Saudi Araabia, uus-Meremaa
Atralex Malaisia
Atrasyl Türgi
Besilato Atracurio Hispaania, Portugal, Tšiili
Faulcurium Egiptus, Portugal
Gelolagar Argentiina
Laurak Hispaania
Neucurium Türgi
Notrixum Türgi
Relactrac Kolumbia
Relatrac Mehhiko
Tracrium Ameerika ühendriigid, Araabia Ühendemiraadid, Austria, Belgia, Ecuador, Egiptus, Hispaania, Holland, Iirimaa, Iraan, Itaalia, Kolumbia, Kreeka, Luksemburg, Malaisia, Maroko, Mehhiko, Poola, Portugal, Prantsusmaa, Rumeenia, Saksamaa, Saudi Araabia, Sloveenia, Suurbritannia, Sveits, Tšiili, Türgi, Ungari, uus-Meremaa
Tracumek Maroko
Tracurix Argentiina
Tracuron Argentiina
Stabiilsus lahustes   Süsteravim   Stabiilsus lahustes : Atracurium besylate     
konteiner lahusti kontsentratsioon temperatuur ladustamine Stabiilsuse kestus Viited
süstal  polüpropüleenist naatriumkloriid 0.9% 0,5 >> 5 mg/ml < 30°C kaitsta valguse eest
24 Tund
3676
Tootja info stabiilsuse kohta

süstal  polüpropüleenist glükoos 5% 0,5 >> 5 mg/ml < 30°C kaitsta valguse eest
24 Tund
3676
Tootja info stabiilsuse kohta

süstal  polüpropüleenist mitte ükski 10 mg/ml 25°C pole täpsustatud
42 päev
657
Tõenduspõhisuse tase D

süstal  polüpropüleenist mitte ükski 10 mg/ml 40°C pole täpsustatud
7 päev
657
Tõenduspõhisuse tase D

süstal  polüpropüleenist mitte ükski 10 mg/ml 5°C kaitsta valguse eest
42 päev
657
Tõenduspõhisuse tase D


  Mentions Légales