Senaste uppdateringen :
27/04/2026
Infostab
Förteckning över substanser
Sammanfattande listor
Sök efter kompatibilitet
Kompatibilitetstabell
Hänvisningar
forskargrupper
valistab
Posters
Anslutningar
sponsorer
Författare
Användaranvisning
Nyhetsbladet
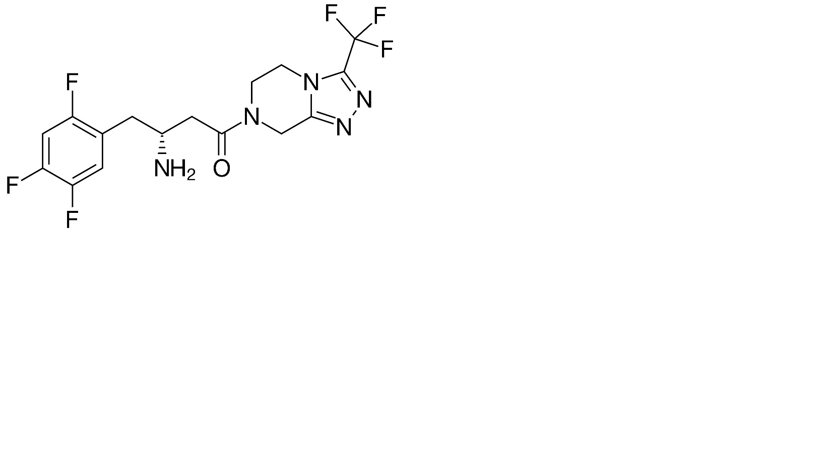
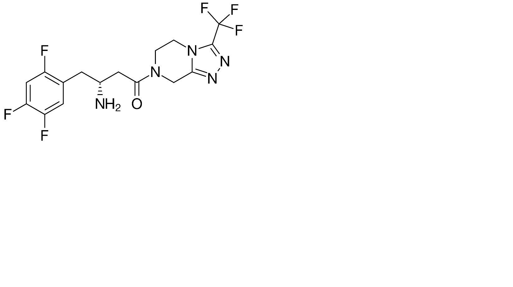
Sitagliptine phosphate
Molekylstruktur
Hänvisningar : Sitagliptine phosphate
Typ
Publikation
4679
tidningen
Zaid A.N, Abu Zaaror Y, Kaddumi A , Ghanem M , Jaradat N , Abu Salah T, Siaj S, Omari L.
Stability of extemporaneously prepared sitagliptin phosphate solution.
PlosOne 2022 17(3): e0262068.
Mentions Légales