Zadnji put ažurirano :
27/04/2026
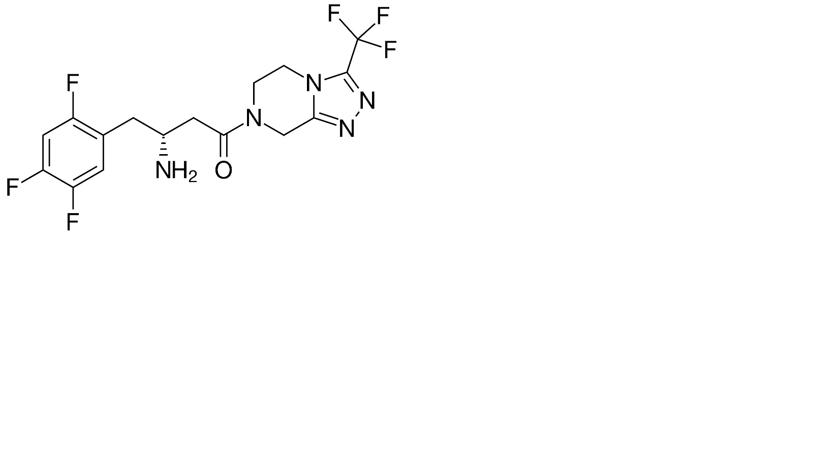
hipoglikemici   Sitagliptine phosphate  
oralna otopina
Stabilnost farmaceutskih pripravaka Stabilnost mješavine Stabilizacijski faktor Kompatibilnosti Bibliografija pdf
   Kemijska struktura  

oralna otopina
Bibliografija   oralna otopina     Bibliografija : Sitagliptine phosphate  
Vrsta Publikacija
4679 Časopis Zaid A.N, Abu Zaaror Y, Kaddumi A , Ghanem M , Jaradat N , Abu Salah T, Siaj S, Omari L.
Stability of extemporaneously prepared sitagliptin phosphate solution.
PlosOne 2022 17(3): e0262068.

  Mentions Légales