آخر تحديث :
27/11/2025
خافض الجلوكوز   Sitagliptine phosphate  
عن طريق الفم
استقرار المستحضرات الصيدلانية استقرار مخاليط العوامل التي تؤثر على الاستقرار التوافق مراجع pdf
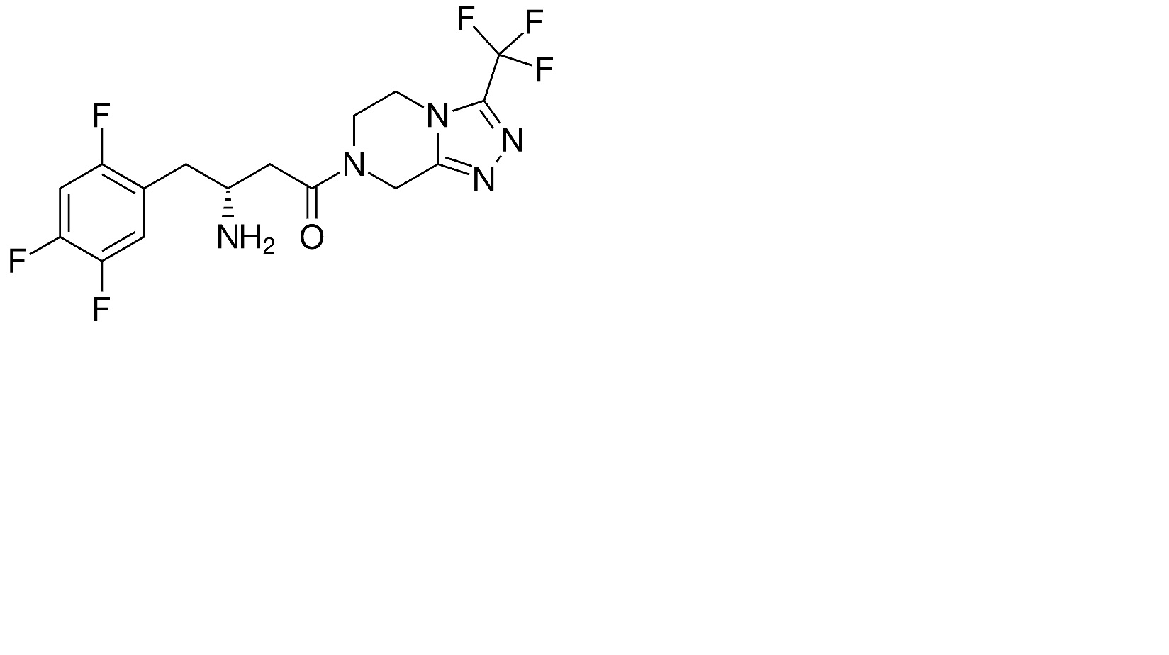
   التركيب الكيميائي  

عن طريق الفم
مراجع   عن طريق الفم     مراجع : Sitagliptine phosphate  
نوع منشور
4679 مجلة Zaid A.N, Abu Zaaror Y, Kaddumi A , Ghanem M , Jaradat N , Abu Salah T, Siaj S, Omari L.
Stability of extemporaneously prepared sitagliptin phosphate solution.
PlosOne 2022 17(3): e0262068.

  Mentions Légales