viimane versioon :
27/11/2025
Hüpoglükeemiline ravim   Sitagliptine phosphate  
suukaudne lahus
Stabiilsust ravimpreparaadid Stabiilsust mõjutavad tegurid stabiilsust mõjutavad faktorid Sobimatus Viited pdf
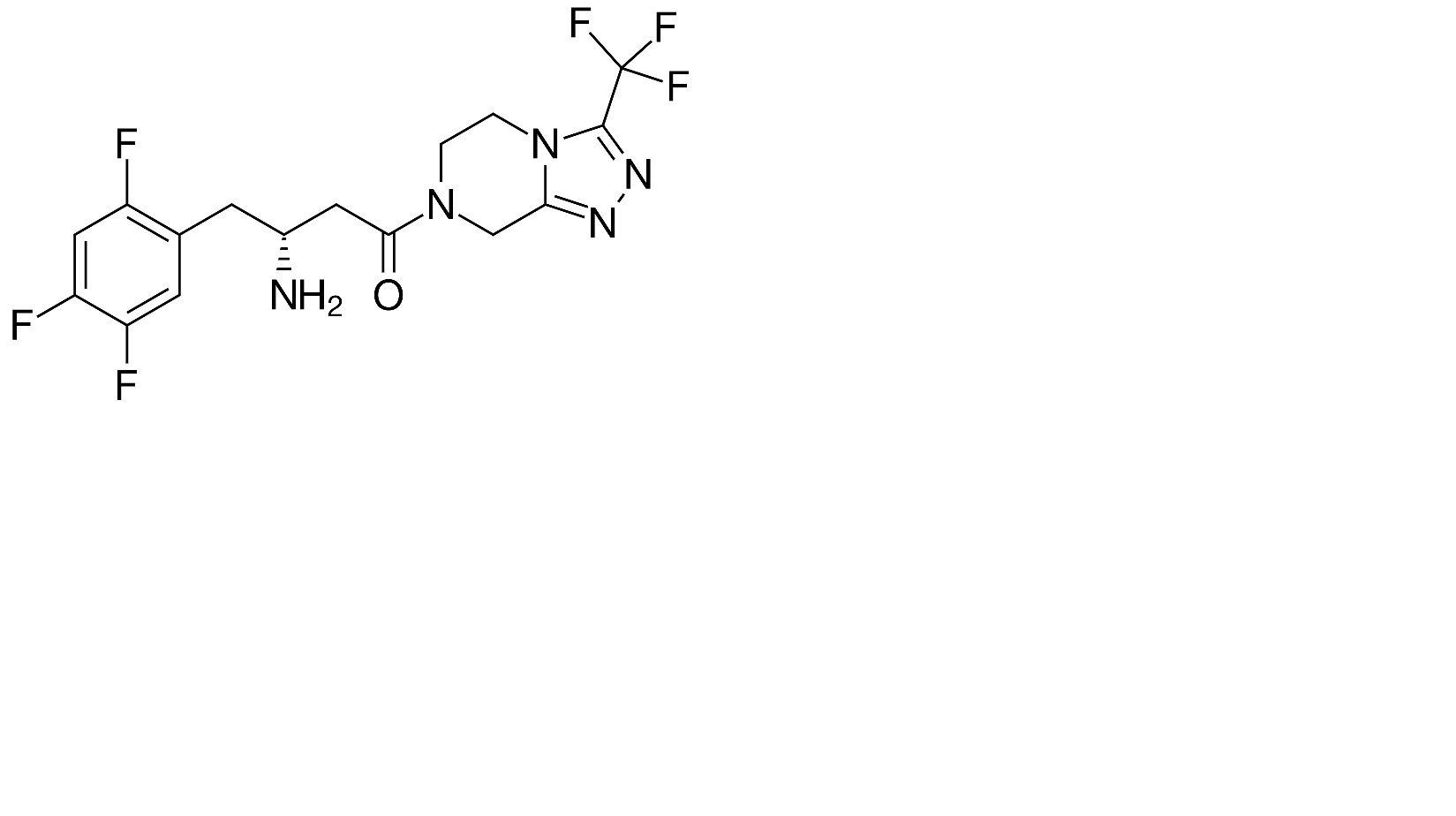
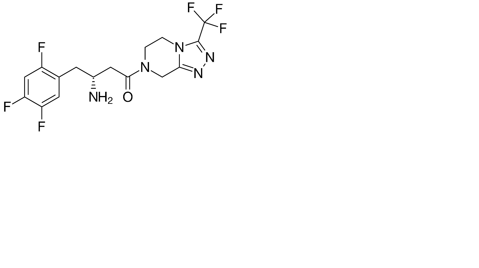
   keemiline struktuur  

suukaudne lahus
Viited   suukaudne lahus   Viited : Sitagliptine phosphate  
tüüp avaldamine
4679 ajaleht Zaid A.N, Abu Zaaror Y, Kaddumi A , Ghanem M , Jaradat N , Abu Salah T, Siaj S, Omari L.
Stability of extemporaneously prepared sitagliptin phosphate solution.
PlosOne 2022 17(3): e0262068.

  Mentions Légales