Последнее обновление :
18/03/2026
анти слабоумие   Pimavanserin  
Раствор для перорального приёма
Стабильность фармацевтических препаратов Стабильность смесей Факторы, которые влияют на стабильность Совместимость Библиография pdf
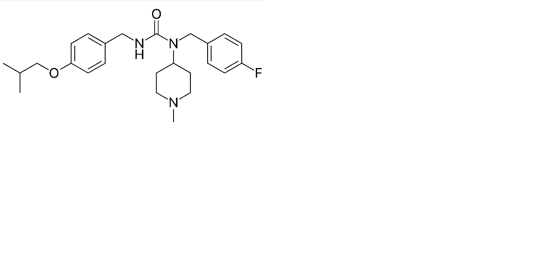
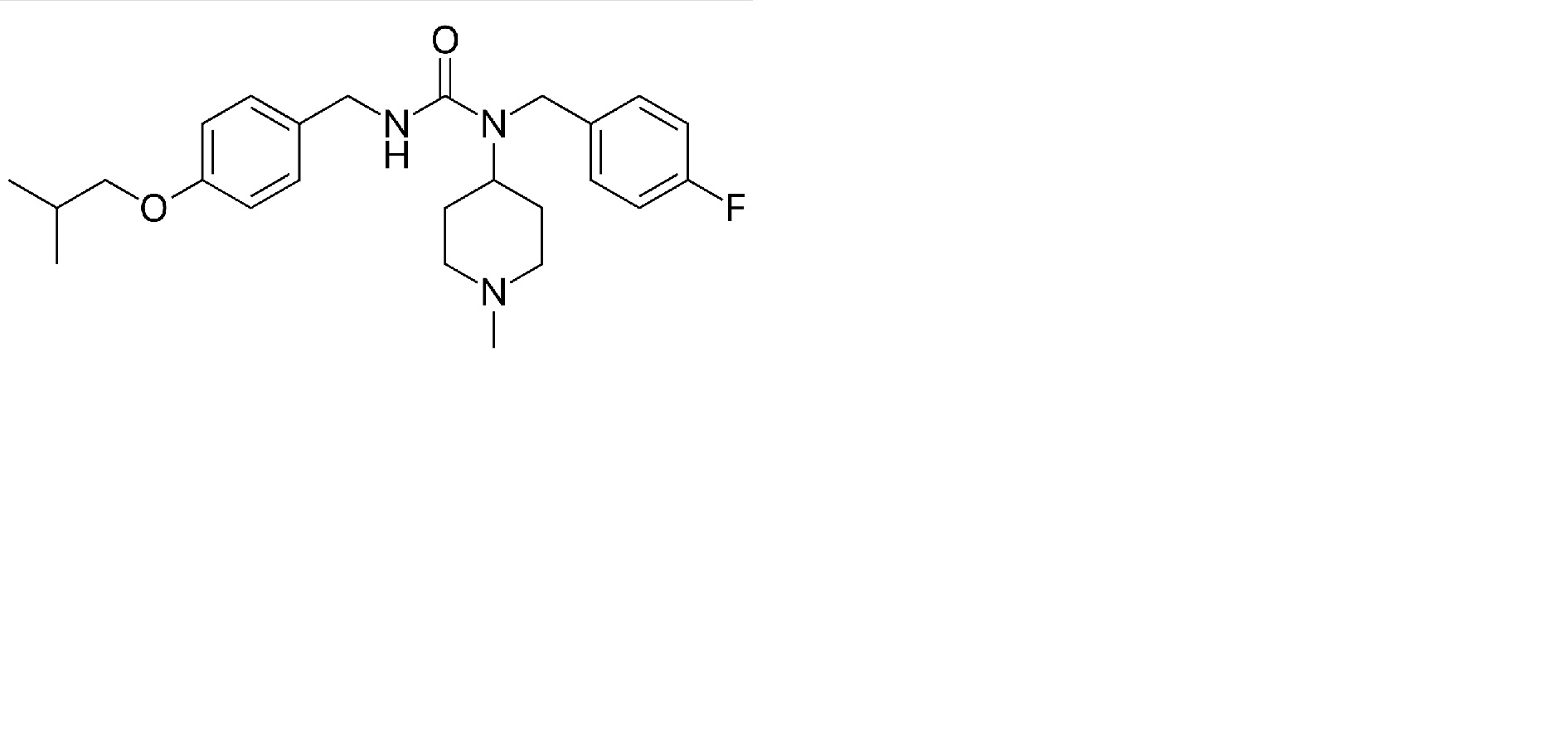
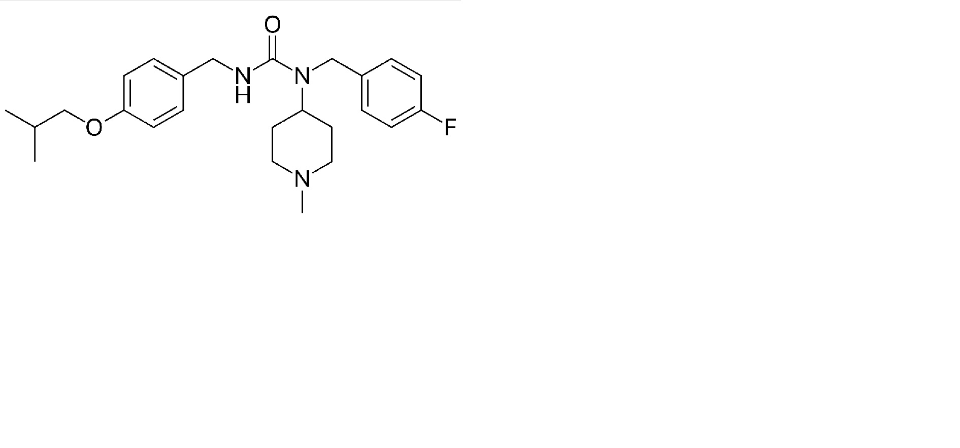
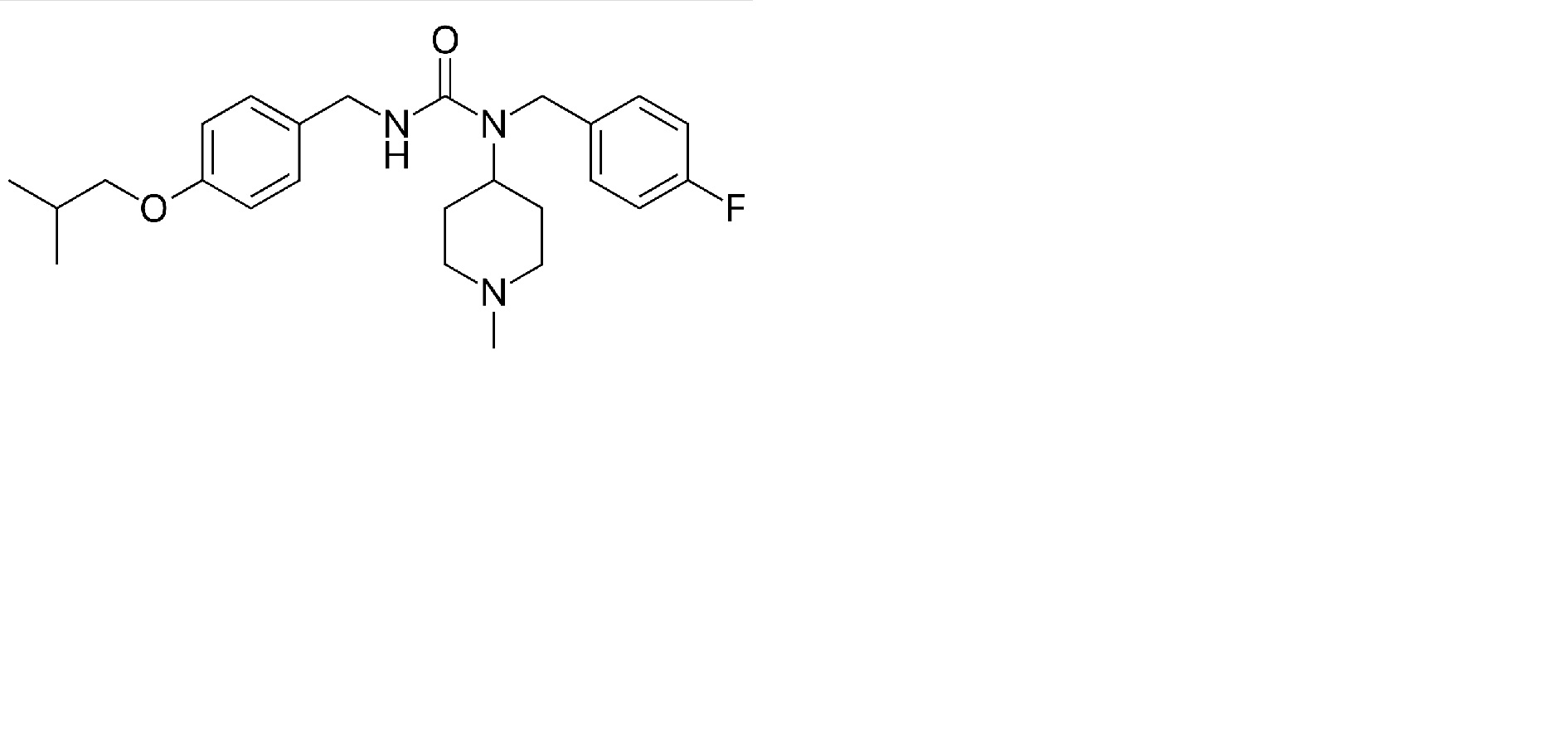
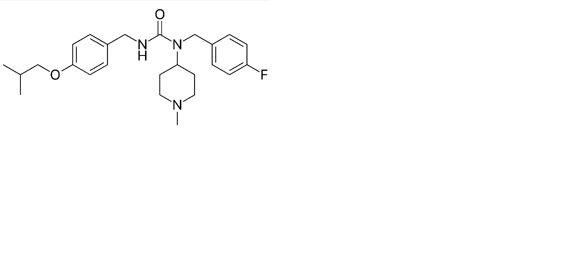
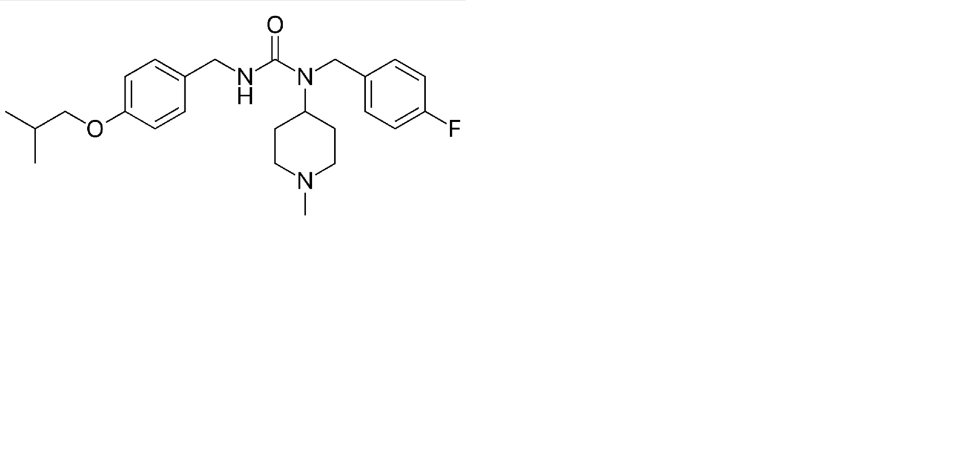
   Химическая структура  

Раствор для перорального приёма
Стабильность смесей   Раствор для перорального приёма   Стабильность смесей : Pimavanserin     
данных нет

  Mentions Légales